Bài 1: Cóc vàng tài ba
Câu 1.1:Tập hợp nghiệm của phương trình (x - 2)(3 - 2x) = 0 là:
Mời các bạn học sinh lớp 8 tham gia thử sức với vòng 17 của Cuộc thi giải toán qua mạng năm 2015 - 2016 qua bài test Đề thi Violympic Toán lớp 8 vòng 17 năm 2015 - 2016. Tham gia làm bài để đánh giá xem trình độ kiến thức của mình đang ở mức nào và đưa ra phương pháp ôn tập đúng đắn, hiệu quả cho vòng thi tiếp theo nhé!
Điểm khả dụng: 0 điểm
Bạn sẽ dùng 50 điểm để đổi lấy 1 lượt làm bài.
Bạn không đủ điểm để đổi.
Bài 1: Cóc vàng tài ba
Câu 1.1:Câu 1.2:
Biết ΔABC đồng dạng với ΔMNP. Phát biểu nào sau đây là sai?
Câu 1.3:
Cho ΔABC và ΔMNP có góc A = góc N và góc C = góc M thì kết luận nào sau đây là đúng?
Câu 1.4:
Số giá trị của x thỏa mãn Ιx + 5Ι = x + 2 là .....Câu 1.5:
Một ô tô đi từ A đến B với vận tốc 25km/giờ. Lúc về từ B đến A người đó đi với vận tốc 30km/giờ. Thời gian đi và về là 3 giờ 40 phút. Độ dài quãng đường AB là:Câu 1.6:
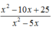
Với x nguyên, giá trị nhỏ nhất của biểu thứcCâu 1.7:
Giá trị nhỏ nhất của biểu thức A = Ιx2 + x + 1Ι + Ιx2 + 3x + 7Ι là:Câu 1.8:
Một tổ may dự định may mỗi ngày 50 áo. Nhưng khi thực hiện mỗi ngày may được 60 áo. Do đó đã hoàn thành trước thời hạn 2 ngày và còn làm thêm được 20 áo. Số lượng áo tổ may theo kế hoạch là:Câu 1.9:
Dư của phép chia đa thức P(x) = x99 + x55 + x11 + x + 7 cho x2 - 1 là:Câu 1.10:
Tam giác ABC có AB = 12cm, AC = 14cm, BC = 16cm. Tia phân giác của góc ABC cắt AC tại M.
Khi đó MC - MA = ........


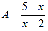
có giá trị bằng 2 là .........1
có giá trị bằng 2 là .........1
Tìm k sao cho phương trình (2x + 1)(9x + 2k) - 5(x + 2) = 40 có nghiệm x = 2.
Trả lời: k = ......
Tìm k sao cho phương trình (2x + 1)(9x + 2k) - 5(x + 2) = 40 có nghiệm x = 2.
Trả lời: k = ......
Tìm x biết (x + 1)(x + 2)(x + 3)(x + 4) = 24
Trả lời:
Tập hợp các giá trị x thỏa mãn là {........}
Tìm x biết (x + 1)(x + 2)(x + 3)(x + 4) = 24
Trả lời:
Tập hợp các giá trị x thỏa mãn là {........}
Biết xo; yo; zo là nghiệm nguyên dương của phương trình x2 + y2 + z2 = xy + 3y + 2x - 4.
Khi đó xo + yo + zo = ........
Biết xo; yo; zo là nghiệm nguyên dương của phương trình x2 + y2 + z2 = xy + 3y + 2x - 4.
Khi đó xo + yo + zo = ........
Đang tải...
Theo Nghị định 147/2024/ND-CP, bạn cần xác thực tài khoản trước khi sử dụng tính năng này. Chúng tôi sẽ gửi mã xác thực qua SMS hoặc Zalo tới số điện thoại mà bạn nhập dưới đây: