Câu 1: 
Câu 1: 
Mời các bạn cùng làm thử Đề thi Violympic môn Toán lớp 9 vòng 14 năm học 2016 - 2017 vừa được cập nhật trên hệ thống bài thi trắc nghiệm của VnDoc nhằm đánh giá khả năng cũng như ôn luyện lại kiến thức đã học được của bản thân trong học kỳ qua. Chúc các bạn có được số điểm cao!
Điểm khả dụng: 0 điểm
Bạn sẽ dùng 50 điểm để đổi lấy 1 lượt làm bài.
Bạn không đủ điểm để đổi.
Câu 1: 
Câu 1: 
Câu 1: ![]()
Câu 1: ![]()
2017
2017
Câu 4:
Câu 5:
Cho hai số a, b không âm, khẳng định nào sau đâu đúngCâu 6:
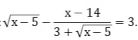
Tìm tất cả các giá trị của x thỏa mãn
Câu 9:
Rút gọn P = cos2α + cos2α.cot2α (với 0o < α < 90o) ta được:
Câu 10:
Căn bậc hai số học của 144 là:
Câu 1: Tính √0,04 + √0,25 =...
0,7Câu 1: Tính √0,04 + √0,25 =...
0,7
4/3
4/3
Đang tải...
Theo Nghị định 147/2024/ND-CP, bạn cần xác thực tài khoản trước khi sử dụng tính năng này. Chúng tôi sẽ gửi mã xác thực qua SMS hoặc Zalo tới số điện thoại mà bạn nhập dưới đây: