Bài 1: Đừng để điểm rơi
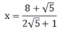
Câu 1:Giá trị của biểu thức
khi x = 4 là bao nhiêu?
Các em học sinh lớp 9 hãy cùng tiếp tục thử sức mình và thể hiện khả năng cũng như đam mê với môn toán qua vòng thì mới nhất của Đề thi Violympic Toán lớp 9 năm 2016 - 2017 trên Vndoc.com. Chúc các em có khoảng thời gian ôn tập hiệu quả để đạt được kết quả thật cao!
Các em hãy ôn tập thêm: Đề thi Violympic Toán lớp 9 vòng 16 năm 2016 - 2017
Điểm khả dụng: 0 điểm
Bạn sẽ dùng 50 điểm để đổi lấy 1 lượt làm bài.
Bạn không đủ điểm để đổi.
Bài 1: Đừng để điểm rơi
Câu 1:
khi x = 4 là bao nhiêu?
Câu 2:
Giá trị của biểu thứcCâu 3:
Trên mặt phẳng tọa độ cho đường thẳng (d): 2mx + (m-1)y = 2 (m là tham số). Giá trị của m để (d) song song với đường thẳngCâu 4:
Rút gọn biểu thức
ta được kết quả là?
Câu 5:
Với các giá trị của m để hệ phương trìnhCâu 6:
ChoCâu 7:
Tam giác vuông có cạnh góc vuông bằng 20 và bán kính đường tròn nội tiếp bằng 6. Diện tích tam giác đó bằng bao nhiêu?Câu 8:
Cho biết phương trình mx2 - 2x - 4m - 1 = 0 có 2 nghiệm phân biệt trong đó 1 nghiệm làCâu 9:
Để hệ phương trìnhCâu 10:
Cho b > a > 0 thỏa mãn: 2a2 + 2b2 = 5ab. Khi đó giá trị của biểu thức

Đang tải...
Theo Nghị định 147/2024/ND-CP, bạn cần xác thực tài khoản trước khi sử dụng tính năng này. Chúng tôi sẽ gửi mã xác thực qua SMS hoặc Zalo tới số điện thoại mà bạn nhập dưới đây: