Giao diện mới của VnDoc Pro: Dễ sử dụng hơn - chỉ tập trung vào lớp bạn quan tâm. Vui lòng chọn lớp mà bạn quan tâm: Lưu và trải nghiệm
Đóng
Điểm danh hàng ngày
  • Hôm nay +3
  • Ngày 2 +3
  • Ngày 3 +3
  • Ngày 4 +3
  • Ngày 5 +3
  • Ngày 6 +3
  • Ngày 7 +5
Bạn đã điểm danh Hôm nay và nhận 3 điểm!
Nhắn tin Zalo VNDOC để nhận tư vấn mua gói Thành viên hoặc tải tài liệu Hotline hỗ trợ: 0936 120 169

Đề thi Violympic Toán lớp 9 vòng 5 năm 2015 - 2016

Đóng
Bạn đã dùng hết 1 lần làm bài Trắc nghiệm miễn phí. Mời bạn mua tài khoản VnDoc PRO để tiếp tục! Tìm hiểu thêm
Mô tả thêm:

Đề thi giải Violympic Toán qua mạng lớp 9 vòng 5 năm 2015 - 2016

Mời các bạn học sinh lớp 9 tham khảo bài test Đề thi Violympic Toán lớp 9 vòng 5 năm 2015 - 2016 trên trang VnDoc.com để kiểm tra, đánh giá trình độ kiến thức Toán học của mình. Đồng thời thông qua bài test làm quen với dạng câu hỏi và rèn luyện kĩ năng giải Toán để chuẩn bị cho các vòng thi tiếp theo. Chúc các bạn thi tốt! 

Làm thêm: Đề thi Violympic Toán lớp 9 vòng 6 năm 2015 - 2016

  • Thời gian làm: 40 phút
  • Số câu hỏi: 15 câu
  • Số điểm tối đa: 15 điểm
Bắt đầu làm bài
Bạn còn 1 lượt làm bài tập miễn phí. Hãy mua tài khoản VnDoc PRO để học không giới hạn nhé! Bạn đã HẾT lượt làm bài tập miễn phí! Hãy mua tài khoản VnDoc PRO để làm Trắc nghiệm không giới hạn và tải tài liệu nhanh nhé!
Mua ngay Đổi điểm
Trước khi làm bài bạn hãy
  • 1 Ôn tập kiến thức đã nêu trong phần Mô tả thêm
  • 2 Tìm không gian và thiết bị phù hợp để tập trung làm bài
  • 3 Chuẩn bị sẵn dụng cụ cần dùng khi làm bài như bút, nháp, máy tính
  • 4 Căn chỉnh thời gian làm từng câu một cách hợp lý
  • Câu 1: Nhận biết

    Bài 1: Vượt chướng ngại vật

    Câu 1.1:
    Cho tam giác ABC vuông tại A, có AC = 14cm; BC = 16cm. Độ dài hình chiếu của cạnh AB trên cạnh huyền là:
  • Câu 2: Nhận biết

    Câu 1.2:

    Cho tam giác ABC vuông tại A, có AC = 14cm, BC = 16cm.
    Độ dài hình chiếu của cạnh AC trên cạnh huyền BC là:
  • Câu 3: Nhận biết

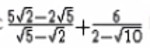
    Câu 1.3:

    Tính giá trị của biểu thức:  ta được kết quả là:
  • Câu 4: Nhận biết

    Câu 1.4:

    Nếu  với a, b là các số nguyên thì khi đó:
  • Câu 5: Nhận biết

    Câu 1.5:

    Tam giác ABC vuông tại A, đường cao AH. Biết AB = 4cm, CH = 6cm. 
    Độ dài trung tuyến AM là:
  • Câu 6: Nhận biết
    Bài 2: Hãy điền số thích hợp vào chỗ (....) Câu 2.1:
    Nghiệm của phương trình:  là x = ...............15
    Đáp án là:
    Bài 2: Hãy điền số thích hợp vào chỗ (....) Câu 2.1:
    Nghiệm của phương trình:  là x = ...............15
  • Câu 7: Nhận biết
    Câu 2.2: Giá trị của biểu thức: sin15+ sin75- cos15- cos75là: ...............0
    Đáp án là:
    Câu 2.2: Giá trị của biểu thức: sin15+ sin75- cos15- cos75là: ...............0
  • Câu 8: Nhận biết
    Câu 2.3: Nghiệm của phương trình  là x = ............3
    Đáp án là:
    Câu 2.3: Nghiệm của phương trình  là x = ............3
  • Câu 9: Nhận biết
    Câu 2.4: Giá trị của biểu thức: tan15.tan55.cot15.cot55là ..............1
    Đáp án là:
    Câu 2.4: Giá trị của biểu thức: tan15.tan55.cot15.cot55là ..............1
  • Câu 10: Nhận biết
    Câu 2.5: Giá trị rút gọn của biểu thức:  là: ...............-2
    Đáp án là:
    Câu 2.5: Giá trị rút gọn của biểu thức:  là: ...............-2
  • Câu 11: Nhận biết
    Câu 2.6: Cho hình chữ nhật có chu vi 170cm và AB - AD = 35cm.
    Khi đó diện tích hình chữ nhật là: .............. cm2.1500
    Đáp án là:
    Câu 2.6: Cho hình chữ nhật có chu vi 170cm và AB - AD = 35cm.
    Khi đó diện tích hình chữ nhật là: .............. cm2.1500
  • Câu 12: Nhận biết
    Câu 2.7: Tập nghiệm của phương trình: là S = {.......}26
    Nhập các phần tử theo giá trị tăng dần, ngăn cách nhau bởi dấu ";"
    Đáp án là:
    Câu 2.7: Tập nghiệm của phương trình: là S = {.......}26
  • Câu 13: Nhận biết
    Câu 2.8: Giá trị rút gọn của biểu thức: là: ..........4
    Đáp án là:
    Câu 2.8: Giá trị rút gọn của biểu thức: là: ..........4
  • Câu 14: Nhận biết
    Câu 2.9: Cho tam giác ABC vuông tại A, đường cao AH. Gọi D là điểm đối xứng của A qua B, E là điểm thuộc tia đối của tia HA sao cho HE = 2HA. 
    Khi đó góc DEC = .............90
    Đáp án là:
    Câu 2.9: Cho tam giác ABC vuông tại A, đường cao AH. Gọi D là điểm đối xứng của A qua B, E là điểm thuộc tia đối của tia HA sao cho HE = 2HA. 
    Khi đó góc DEC = .............90
  • Câu 15: Nhận biết
    Câu 2.10: Giá trị nhỏ nhất của biểu thức:  là: .................1
    Đáp án là:
    Câu 2.10: Giá trị nhỏ nhất của biểu thức:  là: .................1

Chúc mừng Bạn đã hoàn thành bài!

Đề thi Violympic Toán lớp 9 vòng 5 năm 2015 - 2016 Kết quả
  • Thời gian làm bài: 00:00:00
  • Số câu đã làm: 0
  • Điểm tạm tính: 0
  • Điểm thưởng: 0
Tải file làm trên giấy

Đấu trường Đề thi Violympic Toán lớp 9 vòng 5 năm 2015 - 2016

Đang tìm đối thủ...

Đang tải...

Xác thực tài khoản!

Theo Nghị định 147/2024/ND-CP, bạn cần xác thực tài khoản trước khi sử dụng tính năng này. Chúng tôi sẽ gửi mã xác thực qua SMS hoặc Zalo tới số điện thoại mà bạn nhập dưới đây:

Số điện thoại chưa đúng định dạng!
Số điện thoại này đã được xác thực!
Bạn có thể dùng Sđt này đăng nhập tại đây!
Lỗi gửi SMS, liên hệ Admin
Sắp xếp theo