Bài 1: Hãy điền giá trị thích hợp vào chỗ chấm Câu 1.1:
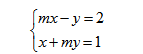
Gọi (xo; yo) là nghiệm của hệ phương trình:

Khi đó: xo2 + yo2 = ..............34
Gọi (xo; yo) là nghiệm của hệ phương trình:

Khi đó: xo2 + yo2 = ..............34
Đáp án là:
Bài 1: Hãy điền giá trị thích hợp vào chỗ chấm Câu 1.1:
Gọi (xo; yo) là nghiệm của hệ phương trình:

Khi đó: xo2 + yo2 = ..............34
Gọi (xo; yo) là nghiệm của hệ phương trình:

Khi đó: xo2 + yo2 = ..............34

là nghiệm của (1) khi đó p + q = ..........