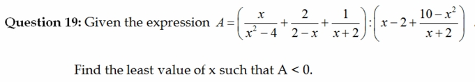
1. 
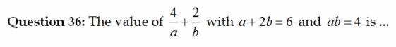
Answer:3.

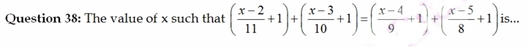
Answer:3.
Đáp án là:
1. 
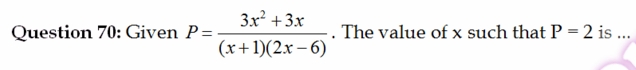
Answer:3.

Answer:3.























































