Giao diện mới của VnDoc Pro: Dễ sử dụng hơn - chỉ tập trung vào lớp bạn quan tâm. Vui lòng chọn lớp mà bạn quan tâm: Lưu và trải nghiệm
Đóng
Điểm danh hàng ngày
  • Hôm nay +3
  • Ngày 2 +3
  • Ngày 3 +3
  • Ngày 4 +3
  • Ngày 5 +3
  • Ngày 6 +3
  • Ngày 7 +5
Bạn đã điểm danh Hôm nay và nhận 3 điểm!
Nhắn tin Zalo VNDOC để nhận tư vấn mua gói Thành viên hoặc tải tài liệu Hotline hỗ trợ: 0936 120 169

Trắc nghiệm Toán học lớp 12 - Ứng dụng đạo hàm để khảo sát và vẽ đồ thị của hàm số

Đóng
Bạn đã dùng hết 1 lần làm bài Trắc nghiệm miễn phí. Mời bạn mua tài khoản VnDoc PRO để tiếp tục! Tìm hiểu thêm
Mô tả thêm:

Trắc nghiệm Toán học lớp 12 có đáp án

Nhằm hệ thống hóa kiến thức cũng như các kỹ năng trong việc làm các bài tập thực hành để chuẩn bị cho các kì thi quan trọng sắp tới. VnDoc.com xin giới giới thiệu đến các bạn một số bài test Trắc nghiệm Toán học lớp 12 - Ứng dụng đạo hàm để khảo sát và vẽ đồ thị của hàm số. Với những câu hỏi này, mong rằng sẽ giúp các bạn sẽ nắm được kiến thức vững chắc hơn về phần Nguyên hàm, tích phân và ứng dụng này.

  • Thời gian làm: 15 phút
  • Số câu hỏi: 10 câu
  • Số điểm tối đa: 10 điểm
Bắt đầu làm bài
Bạn còn 1 lượt làm bài tập miễn phí. Hãy mua tài khoản VnDoc PRO để học không giới hạn nhé! Bạn đã HẾT lượt làm bài tập miễn phí! Hãy mua tài khoản VnDoc PRO để làm Trắc nghiệm không giới hạn và tải tài liệu nhanh nhé!
Mua ngay Đổi điểm
Trước khi làm bài bạn hãy
  • 1 Ôn tập kiến thức đã nêu trong phần Mô tả thêm
  • 2 Tìm không gian và thiết bị phù hợp để tập trung làm bài
  • 3 Chuẩn bị sẵn dụng cụ cần dùng khi làm bài như bút, nháp, máy tính
  • 4 Căn chỉnh thời gian làm từng câu một cách hợp lý
  • Câu 1: Nhận biết

    Câu số 1

    Với đồ thị hàm số sau, kết quả nào dưới đây là sai?
    Nguyên hàm, tích phân và ứng dụng - Bài 1
  • Câu 2: Nhận biết

    Câu số 2

    Đồ thị được vẽ trên hình là đồ thị của hàm số nào dưới đây?
    Nguyên hàm, tích phân và ứng dụng - Bài 1 - Câu số 2
  • Câu 3: Nhận biết

    Câu số 3

    Trong mặt phẳng Oxy cho hàm số nguyên hàm, tích phân và ứng dụng câu 3. Điểm nào sau đây thuộc đường thẳng y = x + 1 và có hoành độ không thuộc tập xác định của hàm số f(x)?
  • Câu 4: Nhận biết

    Câu số 4

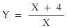
    Cho hàm số nguyên hàm, tích phân và ứng dụng - câu số 4. Khẳng định nào sau đây sai?
  • Câu 5: Nhận biết

    Câu số 5

    Cho hàm số y = 3x³ - 3x + 1 có đồ thị (H). Với giá trị nào của a thì phương trình 4x³ - 3x + 1 = 4a³ - 3a + 1 có một nghiệm đơn duy nhất?
  • Câu 6: Nhận biết

    Câu số 6

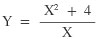
    Cho hàm số nguyên hàm, tích phân và ứng dụng - câu 6. Giả sử phương trình của đồ thị hàm số f(x) với hệ tọa độ IXY nguyên hàm, tích phân và ứng dụng - câu số 6-2. Khi đó, tâm đối xứng của đồ thi hàm số Y có tọa độ trong mặt phẳng Oxy là:
  • Câu 7: Nhận biết

    Câu số 7

    Cho hàm số nguyên hàm, tích phân và ứng dụng câu số 7. Giả sử I là điểm thuộc đường thẳng y = x - 4 và hoành độ của nó không thuộc tập xác định của hàm số f(x). Phương trình của đồ thị hàm số f(x) với hệ tọa độ IXY là:
  • Câu 8: Nhận biết

    Câu số 8

    Đồ thị của hàm số nguyên hàm,tích phân và ứng dụng câu số 8 có điểm cực tiểu là:
  • Câu 9: Nhận biết

    Câu số 9

    Hàm số nào sau đây đồng biến trên mỗi khoảng xác định của nó?
  • Câu 10: Nhận biết

    Câu số 10

    Đường thẳng y = x cắt đồ thị hàm số nguyên hàm, tích phân và ứng dụng câu số 10 tại:

Chúc mừng Bạn đã hoàn thành bài!

Trắc nghiệm Toán học lớp 12 - Ứng dụng đạo hàm để khảo sát và vẽ đồ thị của hàm số Kết quả
  • Thời gian làm bài: 00:00:00
  • Số câu đã làm: 0
  • Điểm tạm tính: 0
  • Điểm thưởng: 0

Đấu trường Toán học lớp 12 - Ứng dụng đạo hàm để khảo sát và vẽ đồ thị của hàm số

Đang tìm đối thủ...

Đang tải...

Xác thực tài khoản!

Theo Nghị định 147/2024/ND-CP, bạn cần xác thực tài khoản trước khi sử dụng tính năng này. Chúng tôi sẽ gửi mã xác thực qua SMS hoặc Zalo tới số điện thoại mà bạn nhập dưới đây:

Số điện thoại chưa đúng định dạng!
Số điện thoại này đã được xác thực!
Bạn có thể dùng Sđt này đăng nhập tại đây!
Lỗi gửi SMS, liên hệ Admin
Sắp xếp theo