Tích phân lớp 12
Tài liệu học Tích phân lớp 12
Tích phân là một phần trong phân môn Giải tích lớp 12 và nó cũng thường có trong các đề thi tuyển sinh Đại học và Cao đẳng.Tích phân không phải đơn giản và nó thường gây lúng túng cho các bạn học sinh. Để góp phần giúp cho các bạn học sinh giảm bớt sự lúng túng khi “đụng độ” với tích phân, VnDoc.com xin giới thiệu tài liệu "Tích phân lớp 12". Mời các bạn cùng tham khảo.
TÍCH PHÂN LỚP 12
Nhắc lại Giới hạn - Đạo hàm - Vi phân
1. Các giới hạn đặc biệt

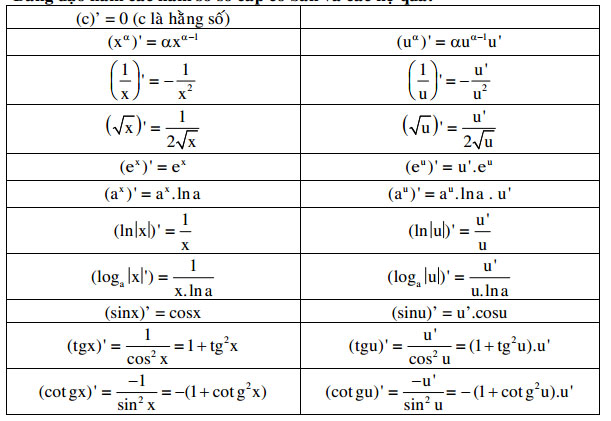
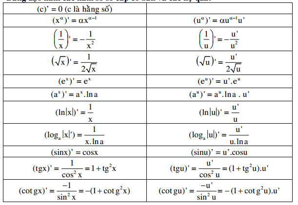
2. Bảng đạo hàm các hàm số sơ cấp cơ bản và các hệ quả

3. Vi phân
Cho hàm số y = f(x) xác định trên khoảng (a; b) và có đạo hàm tại x ϵ (a; b). Cho số gia Δx tại x sao cho x + Δx ϵ (a; b). Ta gọi tích y'. Δx (hoặc f'(x). Δx) là vi phân của hàm số y = f(x) tại x, ký hiệu là dy (hoặc df(x)).
dy = y'. Δx (hoặc df(x) = f'(x). Δx)
Áp dụng định nghĩa trên vào hàm số y = x thì:
dx = x'. Δx = 1. Δx = Δx
Vì vậy ta có: dy = y'. dx (hoặc df(x) = f'(x). dx)