Tổng hợp một số vấn đề mới - hay - khó trong các đề thi thử đại học môn Vật lý năm 2014
Tổng hợp một số vấn đề mới - hay - khó trong các đề thi thử đại học môn Vật lý năm 2014 tổng hợp các câu hỏi trắc nghiệm mới, hay, khó với cách giải ngắn gọn, thông minh, giúp các bạn luyện thi đại học môn Vật lý rất tốt đồng thời cũng là tài liệu tham khảo giảng dạy môn Vật lý rất hay dành cho các thầy cô.
TỔNG HỢP MỘT SỐ VẤN ĐỀ MỚI - HAY - KHÓ TRONG CÁC ĐỀ THI THỬ ĐẠI HỌC MÔN VẬT LÝ
TỔNG HỢP MỘT SỐ VẤN ĐỀ MỚI – HAY – KHÓ TRONG CÁC ĐỀ THI THỬ ĐH 2014
I. DAO ĐỘNG CƠ
Câu 1: (Chuyên ĐH Vinh 2014 – L1) Một con lắc lò xo gồm vật nhỏ khối lượng m = 0,1 kg và lò xo có độ cứng k = 100 N/m. Từ vị trí lò xo không biến dạng, kéo vật đến vị trí lò xo giãn 5 cm rồi thả nhẹ cho vật dao động. Hệ số ma sát trượt giữa vật và mặt phẳng ngang là μ = 0,05. Coi vật dao động tắt dần chậm. Tốc độ của vật khi nó đi được 12 cm kể từ lúc thả là:
A. 1,39 m/s. B. 1,53 m/s. C. 1,26 m/s. D. 1,06 m/s.
Hướng dẫn:

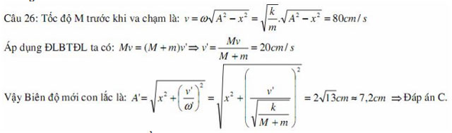
Câu 2: (Chuyên ĐH Vinh 2014 – Lần 3) Một con lắc lò xo đặt nằm ngang gồm vật M = 100g và lò xo có độ cứng k = 10N/m đang dao động điều hòa xung quanh vị trí cân bằng với biên độ A = 10cm. Khi M đi qua vị trí có li độ x = 6cm người ta thả nhẹ vật m = 300g lên M (m dính chặt ngay vào M). Sau đó hệ m và M dao động với biên độ xấp xỉ
A. 6,3 cm. B. 5,7 cm. C. 7,2 cm. D. 8,1 cm.
Hướng dẫn: