Hãy cho biết những phát biểu sau đây là đúng hay sai?
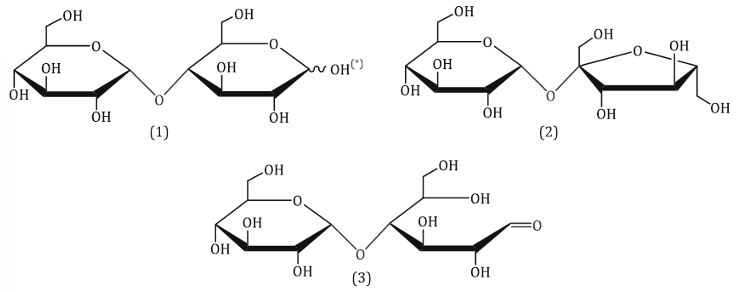
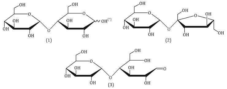
a) Ở dạng mạch vòng, số nhóm –OH trong saccharose và maltose bằng nhau.
b) Hai gốc monosaccharide trong saccharose liên kết với nhau qua nguyên tử oxygen bằng liên kết α-1,2-glycoside.
c) Hai gốc monosaccharide trong maltose liên kết với nhau qua nguyên tử oxygen bằng liên kết α-1,4-glycoside.
d) Saccharose là hợp chất hữu cơ đa chức có công thức dạng C12(H2O)11.
Hãy cho biết những phát biểu sau đây là đúng hay sai?
a) Ở dạng mạch vòng, số nhóm –OH trong saccharose và maltose bằng nhau.
b) Hai gốc monosaccharide trong saccharose liên kết với nhau qua nguyên tử oxygen bằng liên kết α-1,2-glycoside.
c) Hai gốc monosaccharide trong maltose liên kết với nhau qua nguyên tử oxygen bằng liên kết α-1,4-glycoside.
d) Saccharose là hợp chất hữu cơ đa chức có công thức dạng C12(H2O)11.
a) Đúng. Cả hai đều có công thức phân tử C12H22O11, nên số nhóm –OH tự do là như nhau.
b) Đúng. Saccharose gồm gốc α-glucose (C1) và gốc β-fructose (C2), liên kết α-1→2-glycosidic.
c) Đúng. Maltose gồm hai gốc α-glucose liên kết α-1→ 4-glycosidic.
d) Sai. Công thức đúng của saccharose là C12H22O11; dạng Cn(H2O)n chỉ đúng với monosaccharide (Cn(H2O)n), không áp dụng cho disaccharide.













