Tuyển tập đề thi Cao học trường Đại học kinh tế Quốc Dân từ 1998 đến 2013
ĐỀ THI TUYỂN SINH SAU ĐẠI HỌC - PHẦN TOÁN KINH TẾ
ĐẠI HỌC KINH TẾ QUỐC DÂN - THÁNG 5/2013 - HÀ NỘI
Câu 1 (1 điểm)
Cho hàm cầu của một doanh nghiệp độc quyền: D = 12M0,7p˗0,3, trong đó D là lượng cầu, M là thu nhập, p là giá. Nếu cả thu nhập M và p cùng tăng 1% thì lượng cầu thay đổi bao nhiêu %; tổng doanh thu của doanh nghiệp thay đổi bao nhiêu %?
Câu 2 (1 điểm)
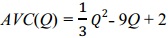
Một doanh nghiệp cạnh tranh hoàn hảo có hàm chi phí biến đổi bình quân:
, trong đó Q là sản lượng của doanh nghiệp.
a) Xác định mức sản lượng Q* để tối đa hóa lợi nhuận của doanh nghiệp khi giá bán hàng hóa trên thị trường p = 90.
b) Tại mức sản lượng Q* tìm được trong câu a) tính chi phí cận biên của doanh nghiệp.
Câu 3 (3 điểm)
Một doanh nghiệp có hàm sản xuất: Q = 1,5KαL0,4 trong đó Q là sản lượng, K là vốn, L là lao động, 0 < α < 1.
a) Xác định α nếu biết rằng tại mức K = 2, L = 4 tỉ lệ thay thế cận biên của vốn cho lao động là 1/3.
b) Với α = 0,6 và doanh nghiệp dự kiến mức sản lượng Q0 = 120, xác định mức sử dụng vốn và lao động để cực tiểu hóa chi phí của doanh nghiệp, biết giá vốn pK = 3 và giá lao động pL = 2.
c) Với kết quả từ câu b), khi giá pK, pL và sản lượng Q0 đồng thời tăng 1,5% thì chi phí tối thiểu thay đổi như thế nào?
Câu 4 (2 điểm)
Phòng y tế quận A đã tiến hành tiêm phòng viêm gan B cho 5000 người của quận này. Kiểm tra ngẫu nhiên 1500 người của quận A thấy có 800 người đã tiêm phòng viêm gan B, trong đó có 500 người được tiêm phòng ở phòng y tế quận A.
a) Với độ tin cậy 95%, ước lượng số người tối thiểu của quận A đã được tiêm phòng viêm gan B.
b) Với mức ý nghĩa 5%, có thể cho rằng trên 50% số người của quận A đã được tiêm phòng viêm gan B hay không?
c) Ở quận C, tỉ lệ người đã được tiêm phòng viêm gan B là 50%. Với xác suất 0,95 khi kiểm tra ngẫu nhiên 1600 người ở quận C thì có tối thiểu bao nhiêu người đã được tiêm phòng viêm gan B?
Câu 5 (2 điểm)
Theo dõi giá (đơn vị: nghìn đồng) hai cổ phiếu A và B trong 121 phiên giao dịch, người ta thu được các kết quả sau:

Giả thiết cổ phiếu A và B là các biến ngẫu nhiên phân phối chuẩn.
a) Với độ tin cậy 95%, tìm khoảng tin cậy đối xứng cho giá trung bình của cổ phiếu A.
b) Với mức ý nghĩa 5%, giá trung bình của hai loại cổ phiếu có khác nhau hay không?
c) Với mức ý nghĩa 5%, giá cổ phiếu B có biến động nhiều hơn giá cổ phiếu A hay không?
Câu 6 (1 điểm)
Cho tổng thể có biến ngẫu nhiên gốc X với công thức xác suất:
![]()
Từ mẫu kích thước n, tìm ước lượng hợp lý tối đa của tham số θ.
Cho các giá trị: ![]()