Bài tập Độ dài đoạn thẳng
Bài tập Toán lớp 6 bài Độ dài đoạn thẳng gồm 2 phần trắc nghiệm và tự luận có đáp án và hướng dẫn giải chi tiết cho các em học sinh tham khảo, củng cố rèn luyện kỹ năng giải Toán Chương 1 Hình học lớp 6. Mời các em học sinh tham khảo chi tiết.
Bài tập Độ dài đoạn thẳng
Câu hỏi trắc nghiệm Độ dài đoạn thẳng lớp 6
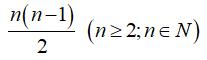
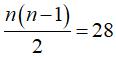
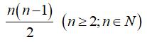
Câu 1: Cho n điểm phân biệt (n ≥ 2; n ∈ N) trong đó không có ba điểm nào thẳng hàng. Vẽ các đoạn thẳng nối hai trong n điểm đó. Có tất cả 28 đoạn thẳng. Hãy tìm n.
A. n = 9
B. n = 7
C. n = 8
D. n = 6
Đáp án và hướng dẫn giải
Số đoạn thẳng tạo thành từ n điểm phân biệt trong đó không có ba điểm nào thẳng hàng là:

Theo đề bài có 28 đoạn thẳng được tạo thành nên ta có:

⇒ n(n - 1) = 56 = 8.7
Nhận thấy (n - 1) và n là hai số tự nhiên liên tiếp, suy ra n = 8.
Chọn đáp án C.
Câu 2: Đường thẳng xx' cắt bao nhiêu đoạn thẳng trên hình vẽ sau:

A. 3
B. 4
C. 5
D. 6
Đáp án và hướng dẫn giải
Đường thẳng xx' cắt năm đoạn thẳng: OA; OB; AB; MA; MB
Chọn đáp án C.
Câu 3: Cho các đoạn thẳng AB = 4cm; MN = 5cm; EF = 3cm; PQ = 4cm; IK = 5cm. Chọn đáp án sai.
A. AB < MN
B. EF < IK
C. AB = PQ
D. AB = EF
Đáp án và hướng dẫn giải
• AB < MN (4cm < 5cm) nên A đúng.
• EF < IK (3cm < 5cm) nên B đúng.
• AB = PQ (4cm = 4cm) nên C đúng.
• AB > EF (4cm > 3cm) nên D sai.
Chọn đáp án D.
Bài tập tự luận Độ dài đoạn thẳng Toán lớp 6
Câu 1: Biết AB = 5(cm) và CD = 3(cm), EF = 4(cm) và GH = 3(cm)
Chọn từ, cụm từ hoặc kí hiệu: Lớn hơn, nhỏ hơn, bằng nhau, có cùng độ dài, <; =; > điền vào chỗ trống
a) AB ... CD hay CD ... AB hoặc AB ... CD hoặc CD ... AB
b) CD và GH ... hoặc CD và GH ... hoặc CD ... GH
Đáp án và hướng dẫn giải
a) AB lớn hơn CD hay CD nhỏ hơn AB hoặc AB > CD hoặc CD < AB
b) CD và GH bằng nhau hoặc CD và GH có cùng độ dài hoặc CD = GH
Câu 2: Chọn một trong các kí hiệu < hoặc = hoặc > điền vào chỗ trống

AB ... AD
AB ... CD
AB ... AC
AB ... AO
AC ... BD
OA ... OB
Đáp án và hướng dẫn giải
Ta có:
AB = AD
AB = CD
AB < AC
AB > AO
AC = BD
OA = OB
Ngoài các dạng bài tập Toán 6, các em học sinh tham khảo Trắc nghiệm Độ dài Đoạn thẳng hay Lý thuyết Toán lớp 6: Đoạn thẳng và các bài giải SGK môn Toán lớp 6, Môn Ngữ văn 6, Môn Vật lý 6, môn Sinh Học 6, Lịch sử 6, Địa lý 6..... chi tiết mới nhất trên VnDoc.com.