Bài tập ôn thi vào lớp 10 môn Toán
Bài tập ôn thi vào lớp 10 môn Toán
Bài tập ôn thi vào lớp 10 môn Toán ược VnDoc sưu tầm và giới thiệu nhằm giúp các em học sinh lớp 9 có thêm tài liệu để củng cố kiến thức, luyện đề và rèn luyện kĩ năng giải Toán thi vào lớp 10. Tài liệu cung cấp các dạng bài tập toán đa dạng, phong phú sẽ giúp các em chuẩn bị sẵn sàng cho kì thi tuyển sinh vào THPT.
Bộ đề thi tuyển sinh vào lớp 10 THPT môn Ngữ văn năm 2016 - 2017
Bộ đề thi tuyển sinh vào lớp 10 THPT môn Toán năm 2016 - 2017
Tổng hợp các đề thi tuyển sinh vào lớp 10 được tải nhiều năm học 2016 - 2017
Bài tập phần rút gọn
Bài 1:
1) Đơn giản biểu thức ![]()
2) Cho biểu thức 
a) Rút gọn biểu thức Q
b) Tìm x để IQI >-Q
c) Tìm số nguyên x để Q có giá trị nguyên
Hướng dẫn
1. P =6
2. a) ĐKXĐ: x >0; x ≠ 1. Biểu thức rút gọn: Q = 2/x-1
b) IQI> - Q <=> x >1.
c) x = {2; 3} thì Q ∈ Z
Bài 2: Cho biểu thức ![]()
a) Rút gọn biểu thức sau P
b) Tính giá trị của biểu thức P khi x = 1/√2
Hướng dẫn
a) ĐKXĐ: x > 0; x ≠1. Biểu thức rút gọn: P = x +1/ 1 - x
b) Với x = 1/√2 thì P = -3 - 2√2
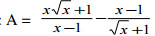
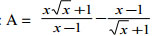
Bài 3: Cho biểu thức ![]()
a) Rút gọn biểu thức A
b) Tính giá trị của biểu thức A khi x = 1/4
c) Tìm x để A <0
d) Tìm x để IAI = A
Hướng dẫn
a) ĐKXĐ: x ≥ 0; x≠1. Biểu thức rút gọn: A = √x/ √x -1
b) Với x = 1/4 thì A = -1
c) Với 0 ≤ x < 1 thì A < 0
d) Với x > 1 thì IAI = A.