Bộ đề thi học kì 2 lớp 6 năm học 2015 - 2016
Bộ đề thi học kì 2 lớp 6 năm học 2015 - 2016
Tổng hợp bộ đề thi học kì 2 lớp 6 được tải nhiều trong năm 2015 - 2016 với mong muốn sẽ giúp các bạn có những gợi ý tìm được những tài liệu giảng dạy, đề thi hay và chất lượng giúp các em học sinh ôn tập kiến thức lớp 6, chuẩn bị cho kiểm tra học kì 2 được tốt nhất.
Đề ôn tập học kì 2 môn Toán lớp 6 năm học 2014-2015
Tổng hợp đề thi học kì 2 môn Tiếng Anh lớp 6 năm 2016 được tải nhiều nhất
PHÒNG GIÁO DỤC VÀ ĐÀO TẠO PHÙ YÊN
ĐỀ KIỂM TRA HỌC KÌ II
MÔN: TOÁN – LỚP 6
Năm học 2015 – 2016
(Thời gian làm bài 90 phút)
Câu 1: (3,0 điểm)
a) Phát biểu quy tắc nhân phân số? Cho ví dụ.
b) Phát biểu quy tắc chia phân số? Cho ví dụ.
Câu 2: (2,0 điểm) Tia phân giác của một góc là gì? Vẽ tia phân giác Oz của ∠xOy
Câu 3: (2,0 điểm) Thực hiện các phép tính:

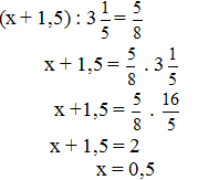
Câu 4: (0,5 điểm) Tìm x, biết : (x + 1,5) : 3 .1/5= 5/8
Câu 5: (1,0 điểm) Học sinh lớp 6a có 20 em, biết số học sinh nữ chiếm 3/10 tổng số học sinh lớp. Tính số học sinh nam và nữ
Câu 6: (1,5 điểm)

Trên cùng một nửa mặt phẳng bờ chứa tia Ox, vẽ hai tia Oy, Oz sao cho ∠xOz = 35o, ∠xOy = 70o
a) Tia Oz có nằm giữa hai tia Ox và Oy không? Vì sao?
b) Tính ∠zOy = ?
c) Tia Oz có là tia phân giác của ∠xOy không? Tại sao?
ĐÁP ÁN ĐỀ THI HỌC KÌ 2 TOÁN LỚP 6
Câu 1.
a) Muốn nhân hai phân số, ta nhân các tử với nhau và nhân các mẫu với nhau. (1 điểm)
0,5 điểm
b) Muốn chia một phân số hay một số nguyên cho một phân số, ta nhân số bị chia với số nghịch đảo của số chia (1 điểm)
![]()
Câu 2. (2 điểm)

Tia phân giác của một góc là tia nằm giữa hai cạnh của góc và tạo với hai cạnh ấy hai góc bằng nhau (1 điểm)
Câu 3. (2 điểm) mỗi ý đúng 0,5 điểm

Câu 4. (0,5 điểm)

Câu 5. (1 điểm)
Số học sinh nữ lớp 6A là: 20 . 3/10 = 6 (HS) (0,5 điểm)
Số học sinh nam lớp 6A là: 20 – 6 = 14 (HS) (0,5 điểm)
Câu 6. (1,5 điểm)
a) Vì ∠ xOz < ∠ xOy (35o <70o) nên tia Oz nằm giữa 2 tia Ox và Oy.
b) Vì tia Oz nằm giữa hai tia Ox và Oy nên ∠xOz + ∠zOy= ∠xOy hay 35o + ∠zOy = 70o
=> ∠yOz = 35o
c) Vì tia Oz nằm giữa hai tia Ox và Oy và ∠xOz = ∠yOz = 35o nên Oz là tia phân giác của góc xOy
| PHÒNG GD & ĐT QUẬN HÀ ĐÔNG TRƯỜNG THCS VĂN KHÊ |
ĐỀ KIỂM TRA HỌC KỲ II Năm học 2015 – 2016 Môn: Ngữ văn 6 Thời gian làm bài: 90 phút |
Phần I: Trắc nghiệm khách quan: (2 điểm)
Cho đoạn văn:
"Sau trận bão, chân trời, ngấn bể sạch như tấm kính lau hết mây hết bụi. Mặt trời nhú lên dần dần, rồi lên cho kì hết. Tròn trĩnh phúc hậu như lòng đỏ một quả trứng thiên nhiên đầy đặn. Quả trứng hồng hào thăm thẳm và đường bệ đặt lên một mâm bạc đường kính mâm rộng bằng cả một cái chân trời màu ngọc trai nước biển hửng hồng. Y như một mâm lễ phẩm tiến ra từ trong bình minh để mừng cho sự trường thọ của tất cả những người chài lưới trên muôn thuở biển Đông..."
(Trích Ngữ văn 6 - Tập 2)
Trả lời câu hỏi bằng các khoanh tròn vào chữ cái đầu những phương án đúng (mỗi câu đúng 0,25 điểm)
Câu 1. Đoạn văn trên trích từ văn bản - tác giả:
A. Dế mèn phiêu lưu kí – Tô Hoài C. Quê nội – Võ Quảng
B. Đất rừng phương Nam – Đoàn Giỏi D. Cô Tô – Nguyễn Tuân
Câu 2. Phương thức biểu đạt chính của đoạn văn là:
A. Miêu tả B. Tự sự C. Biểu cảm D. Thuyết minh
Câu 3. Nội dung của đoạn văn:
A. Cảnh mặt trời mọc trên đảo Cô Tô C. Cảnh sinh hoạt trên đảo Cô Tô
B. Cảnh mặt trời lặn trên biển D. Cảnh biên buổi sáng
Câu 4. Trong đoạn văn nhà văn đứng ở vị trí nào để quan sát cảnh vật?
A. Trên đất liền C. Trên thuyền
B. Trên bờ biển D. Thấu đầu mũi đảo Cô Tô
Câu 5. Đoạn văn trên có bao nhiêu từ láy?
A. Hai B. Ba C. Bốn D. Sáu
Câu 6. Biện pháp tu từ đặc sắc được sử dụng trong đoạn văn:
A. Ẩn dụ B. Hoán dụ C. So sánh D. Nhân hóa
Câu 7. Câu văn "Tròn trĩnh phúc hậu như lòng đỏ một quả trứng thiên nhiên đầy đặn" vắng thành phần chính nào?
A. Chủ ngữ, vị ngữ. C. Vị ngữ.
B. Chủ ngữ. D. Đầy đủ các thành phần chính.
Câu 8. Câu văn "Tròn trĩnh phúc hậu như lòng đỏ một quả trứng thiên nhiên đầy đặn" vắng thành phần chính ấy do:
A. Lỗi câu sai
B. Tác giả có dụng ý nghệ thuật
C. Nhằm nhấn mạnh hình dáng tròn trĩnh phúc hậu, màu đỏ rực của mặt trời khi mới nhô lên từ biển
D. Làm cho câu văn ngắn gọn.
Phần II: Tự luận (8 điểm)
Câu 1. (1 điểm)
a. Hãy xác định các thành phần chính trong câu: "Mặt trời nhú lên dần dần, rồi lên cho kì hết."?
b. Câu văn trên thuộc kiểu câu nào?
Câu 2. (2 điểm) Đoạn văn trên là một đoạn văn hay và độc đáo. Theo em điều gì đã tạo nên cái hay và sự độc đáo ấy?
Câu 3: (5 điểm) Hãy viết bài văn tả người mẹ kính yêu của em.
Đáp án đề thi học kì 2 môn Ngữ văn lớp 6
I/ Phần trắc nghiệm khách quan: (2 điểm) Mỗi câu trả lời đúng được 0,25 điểm.
| Câu | 1 | 2 | 3 | 4 | 5 | 6 | 7 | 8 |
| Đáp án | D | A | A | D | C | C | B | B, C, D |
B/ Tự luận (8 điểm)
Câu 1: (1 điểm)
a.(0,5 điểm) Mặt trời // nhú lên dần dần, rồi lên cho kì hết.
C V1 V2
b.(0,5 điểm) Câu văn trên là: Câu trần thuật đơn.
Câu 2: (2 điểm)
Đoạn văn trên hay và độc đáo vì nó đã đạt được cả 4 yêu cầu của một đoạn văn miêu tả hay. Đó là:
- Tác giả đã lựa chọn những chi tiết, hình ảnh đặc sắc, thể hiện được linh hồn của tạo vật.
- Có những so sánh, liên tưởng mới mẻ, kì lạ và rất thú vị: có ba hình ảnh so sánh (như tấm kính lau hết mây hết bụi, như lòng đỏ một quả trứng thiên nhiên đầy đặn, y như một mâm lễ phẩm tiến ra từ trong bình minh...)
- Vốn ngôn ngữ thật phong phú, sắc sảo dùng để tả cảnh thật sống động, như hiện ra trước mắt người đọc: từ láy, tính từ miêu tả trạng thái màu sắc... (tròn trĩnh đầy đặn hồng hào, thăm thẳm,...)
- Tác giả thể hiện rõ được tình cảm và thái độ đối với cảnh vật: Rất yêu thiên nhiên, trân trọng vẻ đẹp của thiên nhiên,...
Câu 3: (5 điểm)
1. Mở bài. (0,5 điểm) Giới thiệu về chung về người mẹ, tình cảm của mình dành cho mẹ.
2. Thân bài. (4 điểm)
Tả chi tiết chân dung của mẹ. (2 điểm)
- Hình dáng
- Khuôn mặt
- Nước da
- Đôi mắt: Khi mẹ vui đôi mắt mẹ thế nào, khi mẹ buồn đôi mắt mẹ thế nào?
- Giọng nói: Trầm ấm, chan chứa yêu thương.
- Đôi bàn tay mẹ: gầy gầy, xương xương... bao công việc từ những việc nhỏ đến những việc nặng nhọc chính đôi bàn tay mẹ thu vén,... Ngắm đôi bàn tay mẹ mà thấy thấm thía hơn lời bài hát: "Cơm con ăn bàn tay mẹ nấu, nước con uống bàn tay mẹ đun, trời nóng bức gió từ tay mẹ con ngủ ngon... từ tay mẹ con lớn khôn"
Tả về tính cách của mẹ: (2 điểm)
- Khái quát chung về những phẩm chất của mẹ.
- Tả cụ thể những nét tính cách riêng: đảm đang, tháo vát, mẹ rất hiền những rất nghiêm khắc, mẹ rất yêu thương con cái, hết lòng vì mọi người trong gia đình, cách mẹ đối xử với người trên lễ độ, với anh em họ hàng người thân chu đáo, làng xóm thân thiện cởi mở,.... (Có thể kết hợp kể những kỉ niệm sâu sắc để làm nổi bật phẩm chất tốt đẹp của mẹ: khi con có lỗi, khi con ốm, khi con buồn, vui...)
3. Kết bài. (0,5 điểm)
- Ca ngợi về những người mẹ.
- Khẳng định tình cảm của em với mẹ