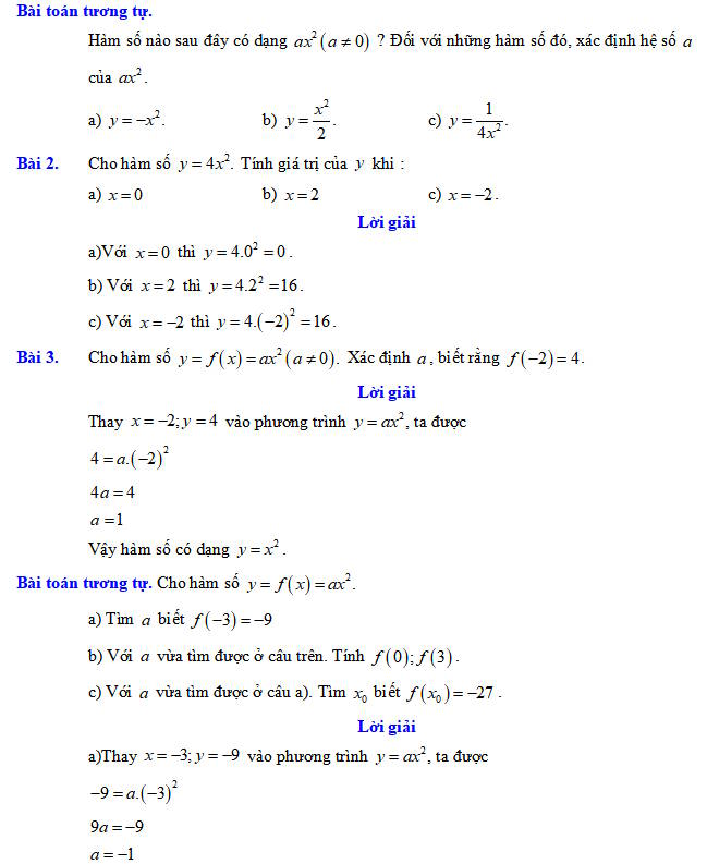
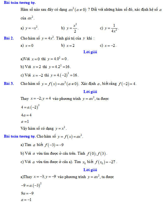
Các dạng bài tập môn Toán 9: Hàm số y=ax2 (a khác 0)
Các dạng bài tập môn Toán 9: Hàm số y=ax2 (a khác 0) được biên soạn chi tiết, bám sát chương trình sách giáo khoa mới. Tài liệu này tổng hợp và phân loại đầy đủ các dạng bài tập trọng tâm, kèm theo hướng dẫn giải chi tiết, dễ hiểu giúp học sinh nắm vững kiến thức cốt lõi.
Thông qua tài liệu, các em có thể hiểu rõ bản chất của từng dạng toán, rèn luyện kỹ năng phân tích, lập luận. Đây là nguồn tham khảo hữu ích, hỗ trợ các em ôn tập, củng cố kiến thức và chuẩn bị tốt cho các bài kiểm tra, kỳ thi học kỳ.
Các dạng bài tập về Hàm số y=ax2 (a khác 0)


Để xem một phần tài liệu Các dạng bài tập môn Toán 9: Hàm số y=ax2 (a khác 0), mời các bạn kích vào nút Xem thử. Để xem trọn bộ tài liệu này, mời kích vào nút Tải về.