Câu hỏi trắc nghiệm khách quan môn Toán lớp 7 trường Trần Phú
Câu hỏi trắc nghiệm khách quan môn Toán lớp 7 trường Trần Phú
Câu hỏi trắc nghiệm môn Toán lớp 7 trường Trần Phú giúp các bạn học sinh ôn tập và kiểm tra trình độ kiến thức môn Toán, đồng thời rèn luyện kĩ năng vận dụng lý thuyết vào thực hành giải bài tập để hiểu bài rõ hơn, nắm chắc kiến thức hơn. Hi vọng tài liệu này sẽ giúp các bạn học tốt môn Toán lớp 7. Mời các bạn tham khảo.
PHÒNG GD & ĐÀO TẠO ĐIỆN BÀN TRƯỜNG THCS TRẦN PHÚ |
CÂU HỎI TRẮC NGHIỆM KHÁCH QUAN TOÁN LỚP 7 |
A/ PHẦN ĐẠI SỐ
I) Chương I: SỐ HỮU TỈ - SỐ THỰC
Bài 1: TẬP HỢP Q CÁC SỐ HỮU TỈ
Câu hỏi: Chọn câu trả lời đúng:
1/ Điền kí hiệu (∈, ∉, ⊂) thích hợp vào ô vuông.
A. -7□N, B. {-7}□Z, C. -7 □ Q, D. {-1, 0, 1/2}□ Q
2/ Cho a,b ∈ Z , b≠0, x =a/b; a,b cùng dấu thì:
A. x = 0 B. x > 0 C. x < 0 D. Cả B, C đều sai
3/ Số hữu tỉ nào sau đây không nằm giữa -1/3 và 2/3
A. -2/9 B. 4/9 C. -4/9 D.2/9
4/ Chọn câu sai: Các số nguyên x, y x/2 = 3/y mà là:
A. x = 1, y = 6 B. x=2, y = -3 C. x = - 6, y = - 1 D. x = 2, y = 3
Đáp án:
| 1 | 2 | 3 | 4 | |||
| A | B | C | D | |||
| ∉ | ⊂ | ∈ | ⊂ | B | C | B |
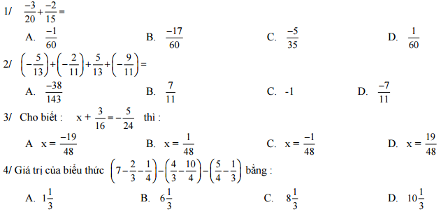
Bài 2: CỘNG, TRỪ SỐ HỮU TỈ
Câu hỏi: Chọn câu trả lời đúng:

Đáp án
| 1 | 2 | 3 | 4 |
| B | C | A | B |
Bài 3: NHÂN CHIA SỐ HỮU TỈ
Câu hỏi: Chọn câu trả lời đúng

Đáp án:
| 1 | 2 | 3 | 4 |
| A | C | B | C |