Đáp án đề thi vào lớp 10 chuyên Tiếng Anh của trường THPT Chuyên Thái Bình 2019
Đề thi vào lớp 10 chuyên Tiếng Anh năm 2019 có đáp án
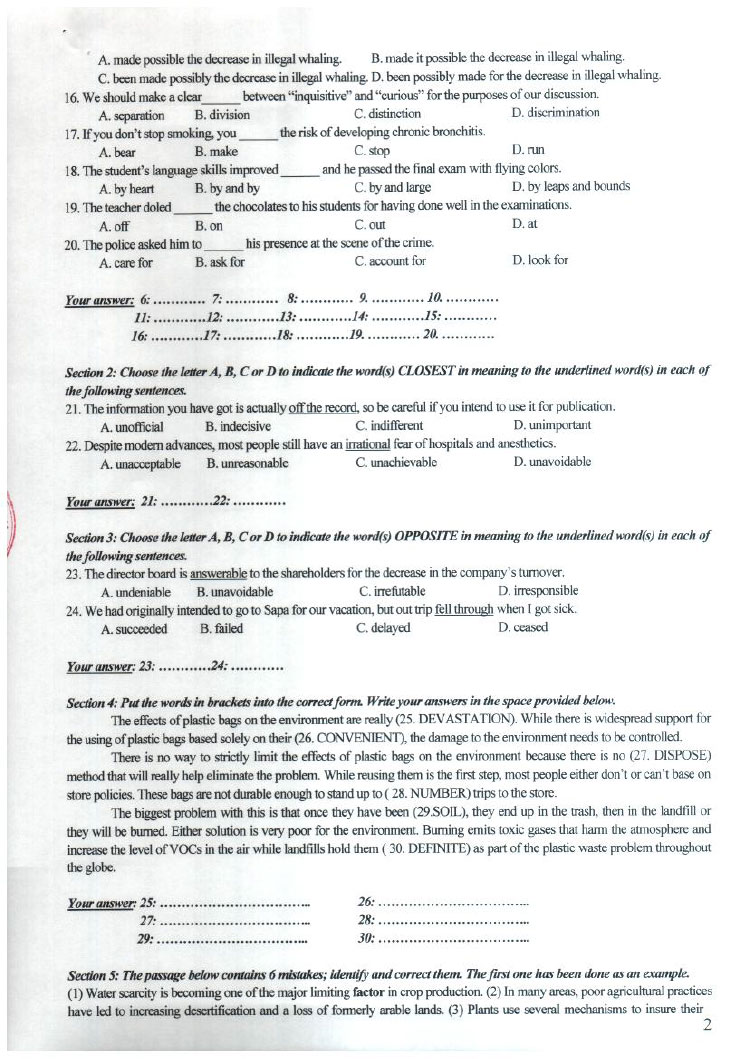
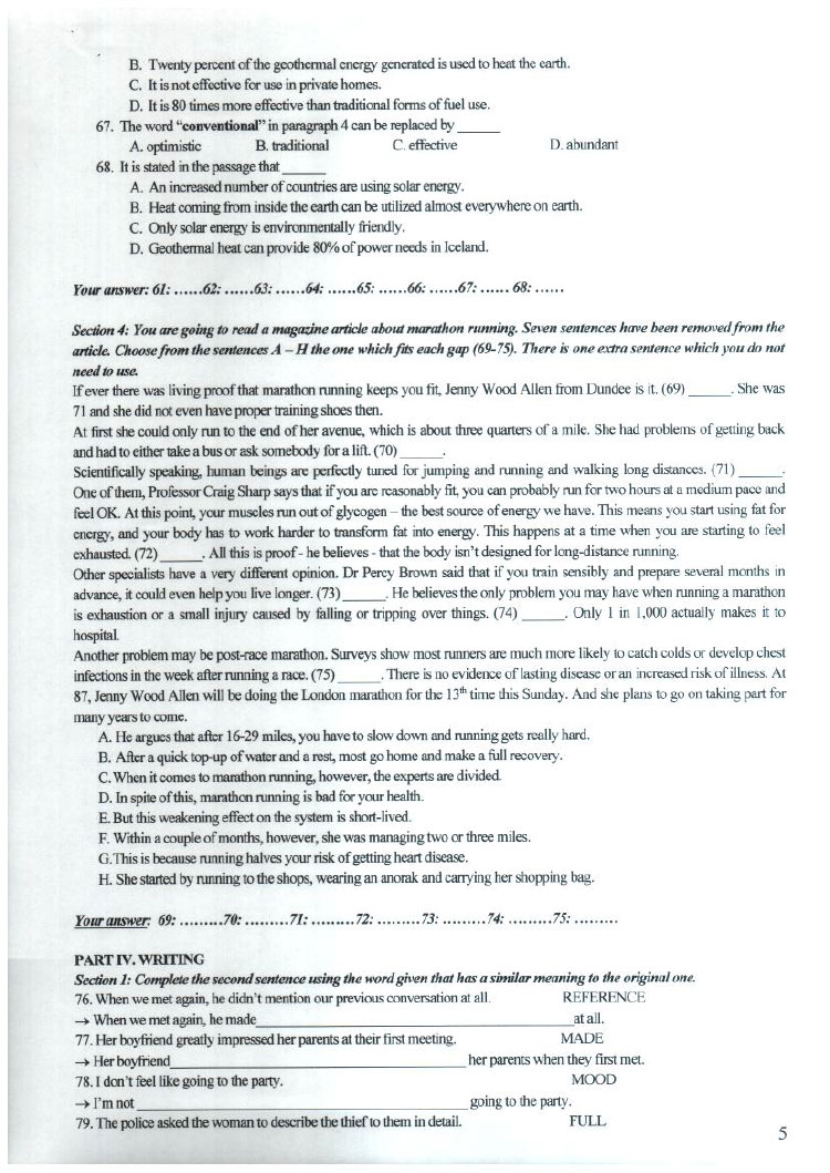
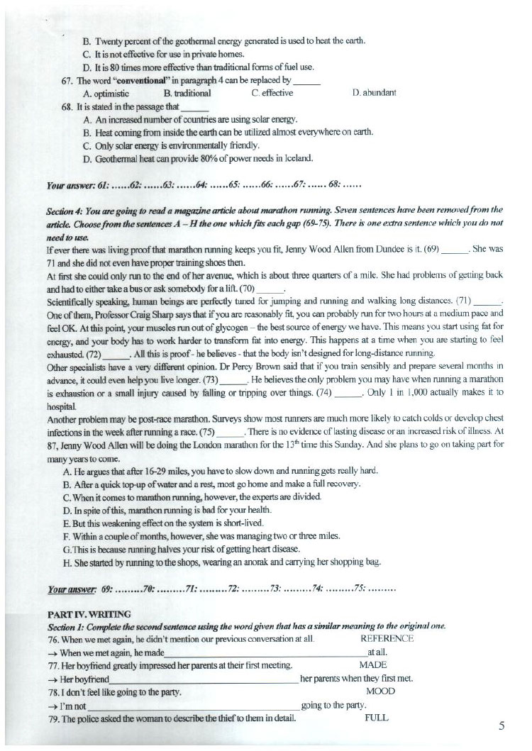
Đề thi chính thức tuyển sinh lớp 10 chuyên Anh trường THPT Chuyên Thái Bình có đáp án nằm trong bộ đề thi vào lớp 10 môn Tiếng Anh do VnDoc.com sưu tầm và đăng tải. Đề thi Tiếng Anh được biên tập bám sát chương trình học của bộ GD - ĐT giúp học sinh lớp 9 kiểm tra vốn kiến thức của bản thân hiệu quả.
Đáp án




Đề thi






Trên đây là toàn bộ nội dung của Đáp án đề thi Tiếng Anh chuyên vào lớp 10 của trường THPT Chuyên Thái Bình 2019. Mời bạn đọc tham khảo thêm nhiều tài liệu ôn thi vào lớp 10 các môn khác như: đề thi vào lớp 10 môn Tiếng Anh, đề thi vào lớp 10 môn Toán, đề thi vào lớp 10 môn Văn, ... được cập nhật liên tục trên VnDoc.com