Đáp án đề thi tuyển sinh lớp 10 môn Toán 2022 Chuyên Nguyễn Tất Thành, Kon Tum
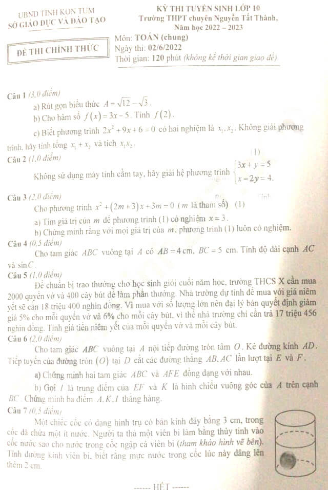
Đề thi tuyển sinh lớp 10 môn Toán 2022
Mời các bạn tham khảo Đáp án Đề thi tuyển sinh lớp 10 môn Toán THPT chuyên Nguyễn Tất Thành, Kon Tum năm 2022 do VnDoc đăng tải sau đây. Đề thi gồm 7 câu hỏi tự luận với tổng thời gian là 120 phút. Mời các bạn tham khảo và so sánh đối chiếu với kết quả bài làm của mình.
1. Đáp án đề thi vào 10 môn Toán THPT Chuyên Nguyễn Tất Thành 2022





2. Đề thi vào 10 môn Toán 2022 chuyên Nguyễn Tất Thành

Để chuẩn bị cho kỳ thi vào lớp 10 môn Toán, mời các em vào chuyên mục đề Thi vào lớp 10 năm 2026 trên VnDoc với tổng hợp các đề thi khác nhau được cập nhật liên tục, giúp các em rèn luyện thêm kỹ năng giải đề và làm bài tốt hơn.
Ngoài Đáp án đề thi tuyển sinh lớp 10 môn Toán chuyên Nguyễn Tất Thành năm 2022, mời các bạn tham khảo thêm các môn Toán, Văn, Anh, Lý, Địa, Sinh để có sự chuẩn bị tốt nhất cho kì thi sắp tới của mình.