Đáp án đề thi tuyển sinh lớp 10 môn Toán Bình Định năm 2022
Đề thi vào lớp 10 Toán Bình Định năm 2022
Sáng 11/6, các thí sinh Bình Định tiếp tục làm bài thi môn Toán kỳ thi tuyển sinh vào lớp 10 năm 2022. Sau đây, VnDoc sẽ gửi tới các bạn Đề thi tuyển sinh lớp 10 môn Toán năm 2022 tỉnh Bình Định kèm đáp án tham khảo. Mời các bạn so sánh đối chiếu với kết quả bài làm của mình nhé.
Tham khảo thêm: Đáp án và Đề thi vào lớp 10 năm 2022 - Tất cả các tỉnh
1. Đề thi tuyển sinh lớp 10 môn Toán Bình Định 2022

2. Đáp án đề thi vào 10 môn Toán Bình Định 2022
Bài 1

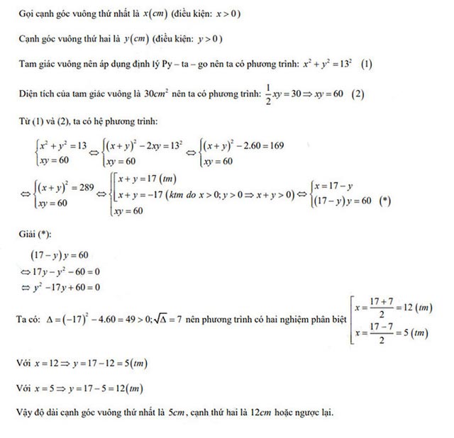
Bài 3

Bài 5

........................
Trên đây VnDoc đã gửi tới các bạn Đề thi tuyển sinh lớp 10 môn Toán tỉnh Bình Định 2022. Để luyện thêm đề, mời các em vào chuyên mục Đề thi vào lớp 10 năm 2022 bao gồm các đề khác nhau được cập nhật nhanh chóng, giúp các em ôn luyện hiệu quả.
Ngoài ra, mời các bạn tham khảo thêm các môn Toán 9, Văn 9, Anh 9... để có những tài liệu hay và hữu ích phục vụ cho kỳ thi sắp tới của mình. Chúc các bạn ôn thi tốt.