Đáp án đề thi tuyển sinh lớp 10 môn Toán Bình Dương năm 2022
Đề thi tuyển sinh lớp 10 môn Toán 2022 tỉnh Bình Dương
VnDoc gửi tới các bạn Đề thi tuyển sinh lớp 10 môn Toán tỉnh Bình Dương năm 2022 kèm gợi ý đáp án cho các bạn tham khảo, so sánh và đối chiếu với bài làm của mình. Đề thi gồm 5 câu hỏi tự luận với tổng thời gian là 120 phút. Mời các bạn tham khảo chi tiết.
1. Đáp án đề thi vào 10 môn Toán Bình Dương 2022
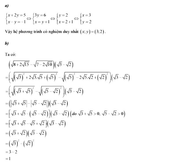
Câu 1

Câu 2

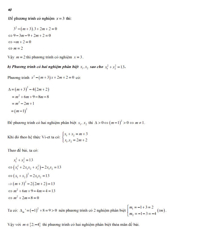
Câu 3

2. Đề thi tuyển sinh lớp 10 môn Toán Bình Dương 2022

Để giúp các em học sinh có tài liệu ôn thi vào lớp 10, VnDoc gửi tới các em chuyên mục đề Thi vào lớp 10 năm 2026 với tổng hợp các đề thi khác nhau được cập nhật liên tục, giúp các em rèn luyện thêm kỹ năng giải đề và làm bài tốt hơn.
Ngoài Đáp án đề thi tuyển sinh lớp 10 môn Toán Bình Dương năm 2022, mời các bạn tham khảo thêm các môn Toán, Văn, Anh, Lý, Địa, Sinh để có sự chuẩn bị tốt nhất cho kì thi sắp tới của mình.