Đáp án đề thi tuyển sinh lớp 10 môn Toán Điện Biên 2022
Đề thi Toán vào 10 năm 2022 tỉnh Điện Biên
VnDoc gửi tới các bạn đề thi môn Toán kỳ thi tuyển sinh vào lớp 10 của tỉnh Điện Biên năm học 2022 - 2023, kèm gợi ý đáp án cho các bạn tham khảo, so sánh và đối chiếu với bài làm của mình. Đề thi gồm 5 câu hỏi tự luận với tổng thời gian là 120 phút. Mời các bạn tham khảo chi tiết.
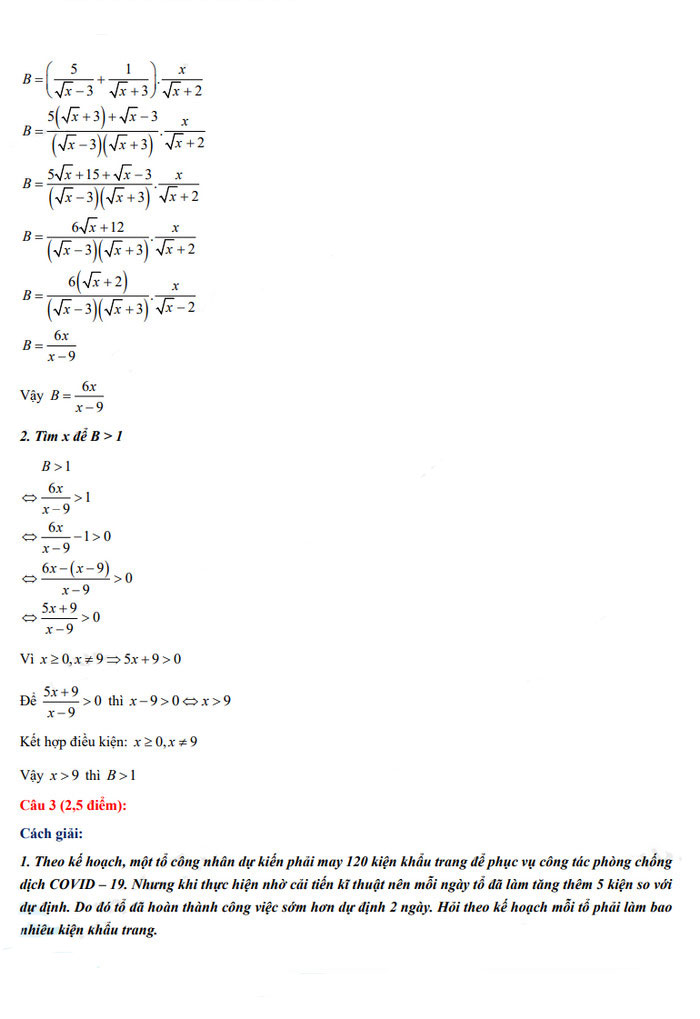
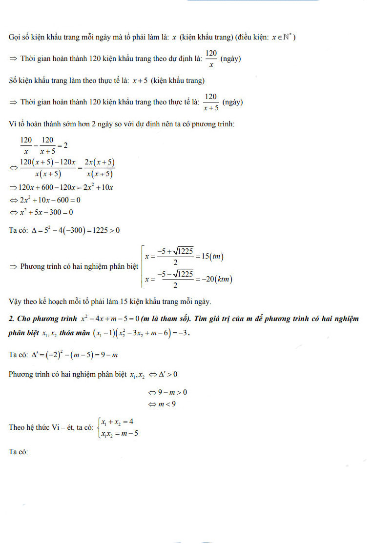
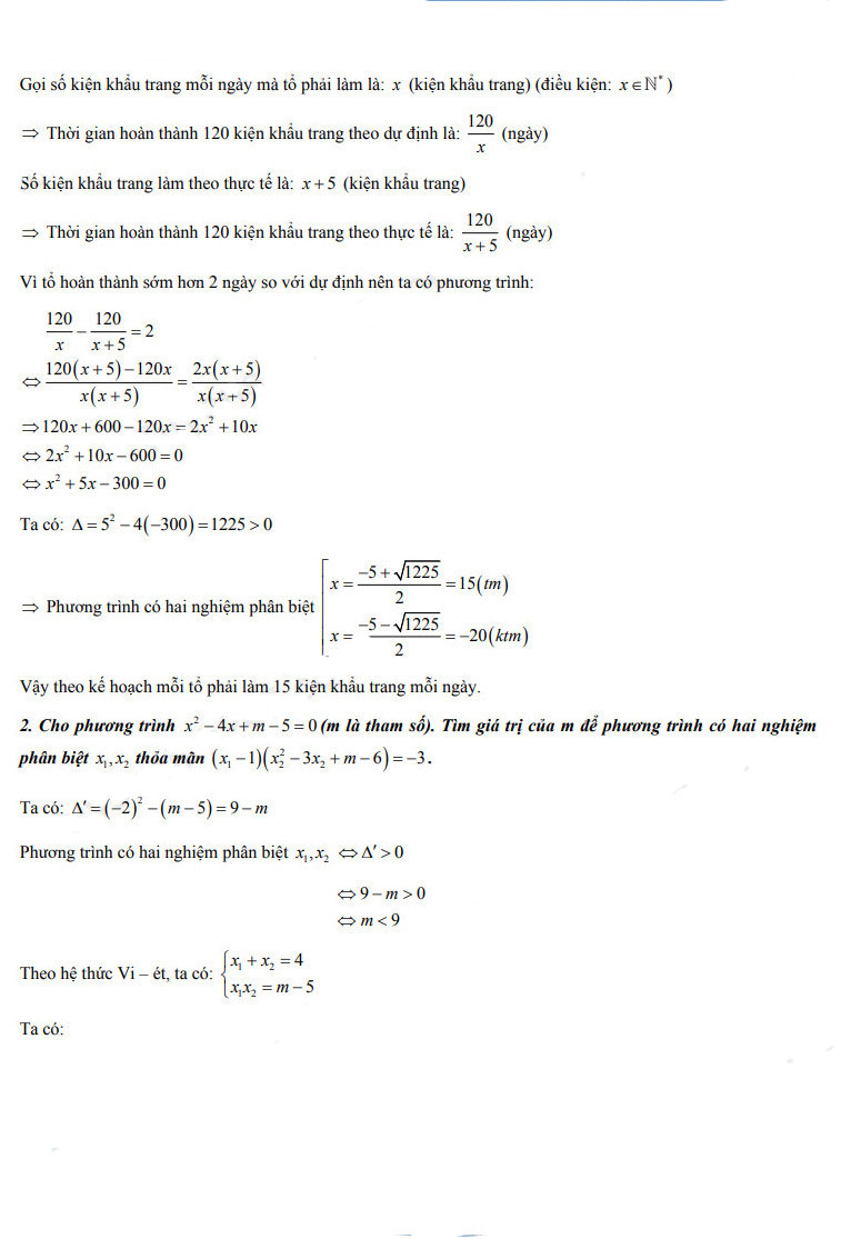
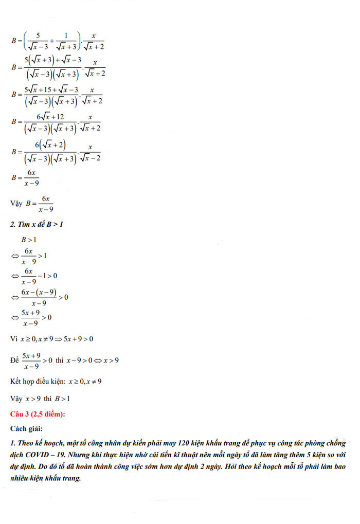
1. Đáp án Đề thi vào 10 môn Toán Điện Biên 2022







2. Đề thi vào 10 môn Toán Điện Biên 2022

Để có thêm các tài liệu ôn thi vào lớp 10, mời các em vào chuyên mục đề Thi vào lớp 10 năm 2026 với tổng hợp các đề thi khác nhau được cập nhật liên tục, giúp các em rèn luyện thêm kỹ năng giải đề và làm bài tốt hơn.
Ngoài Đáp án đề thi tuyển sinh lớp 10 môn Toán Điện Biên năm 2022, mời các bạn tham khảo thêm các môn Toán, Văn, Anh, Lý, Địa, Sinh để có sự chuẩn bị tốt nhất cho kì thi sắp tới của mình.