Đáp án đề thi tuyển sinh lớp 10 môn Toán Hà Tĩnh 2022
Đề thi Toán vào 10 năm 2022 tỉnh Hà Tĩnh
Chiều 6/6, các thí sinh tỉnh Hà Tĩnh tiếp tục hoàn thành bài thi vào lớp 10 môn Toán năm 2022. Trong bài viết này, VnDoc gửi tới các bạn Đề thi tuyển sinh lớp 10 môn Toán năm 2022 của tỉnh Hà Tĩnh kèm đáp án tham khảo. Mời các bạn theo dõi để so sánh đối chiếu với bài làm của mình nhé.
Tham khảo thêm: Đáp án đề thi tuyển sinh lớp 10 môn Văn Hà Tĩnh 2022
1. Đề thi tuyển sinh lớp 10 môn Toán Hà Tĩnh 2022

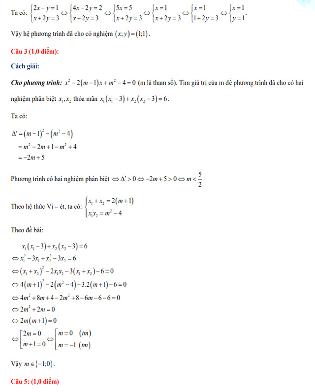
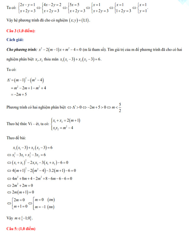
2. Đáp án đề thi vào 10 Toán Hà Tĩnh 2022



........................
Trên đây là Đáp án tham khảo đề thi tuyển sinh lớp 10 môn Toán tỉnh Hà Tĩnh 2022. Hy vọng thông qua tài liệu này các em học sinh có thể ước lượng được số điểm mình đạt được trong bài thi. Để có thêm tài liệu tham khảo vào lớp 10, mời các bạn vào chuyên mục đề Thi vào lớp 10 năm 2026 trên VnDoc. Ngoài ra, mời các bạn tham khảo thêm các môn Toán 9, Văn 9, Anh 9... để có những tài liệu hay và hữu ích phục vụ cho kỳ thi sắp tới của mình. Chúc các bạn ôn thi tốt.