Đáp án đề thi tuyển sinh lớp 10 môn Toán Phú Thọ năm 2022
Đề thi vào lớp 10 Toán Phú Thọ năm 2022
Sáng 13/6, các thí sinh Phú Thọ tiếp tục làm bài thi môn Toán kỳ thi tuyển sinh vào lớp 10 năm 2022. Sau đây, VnDoc sẽ gửi tới các bạn Đề thi tuyển sinh lớp 10 môn Toán năm 2022 tỉnh Phú Thọ kèm đáp án tham khảo. Mời các bạn so sánh đối chiếu với kết quả bài làm của mình nhé.
Tham khảo thêm: Đáp án và Đề thi vào lớp 10 năm 2022 - Tất cả các tỉnh
1. Đề thi tuyển sinh lớp 10 môn Toán Phú Thọ 2022


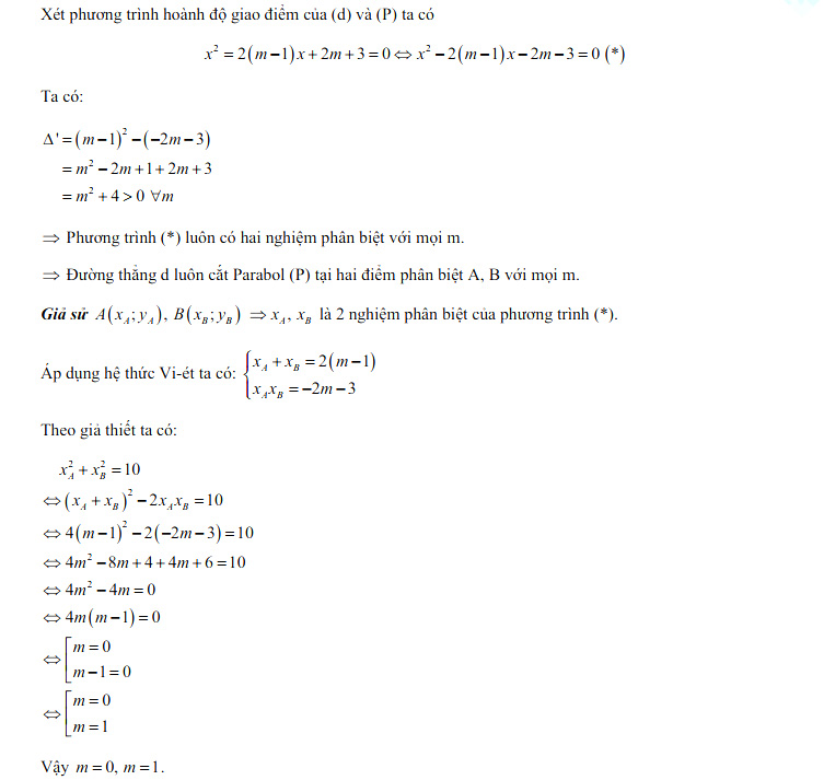
2. Đáp án đề thi vào 10 môn Toán Phú Thọ 2022
PHẦN 1. TRẮC NGHIỆM KHÁCH QUAN
- A
- D
- C
- A
- B
- C
- C
- B
- A
- D
PHẦN II. TỰ LUẬN
Câu 1



........................
Trên đây VnDoc đã gửi tới các bạn Đề thi tuyển sinh lớp 10 môn Toán tỉnh Phú Thọ 2022. Chắc hẳn sau khi thi xong, điều mà các em quan tâm lúc này là cách tính điểm thi vào lớp 10 năm 2022 - 2023 như thế nào đúng không? Mời các em tham khảo bài viết Cách tính điểm thi vào lớp 10 năm 2022 - 2023 để hiểu rõ hơn nhé.
Ngoài ra để biết thêm các thông tin khác về kỳ thi tuyển sinh vào lớp 10 năm 2022 như điểm chuẩn, đề thi các trường... mời các em vào chuyên mục Thi vào lớp 10 trên Vndoc để tham khảo nhé.