Đáp án đề thi tuyển sinh lớp 10 môn Toán Quảng Ninh năm 2022
Đề thi vào 10 Toán Quảng Ninh 2022
Đề thi tuyển sinh lớp 10 môn Toán tỉnh Quảng Ninh năm 2022 được VnDoc chia sẻ dưới đây. Đề thi gồm 5 câu hỏi tự luận với tổng thời gian là 120 phút cho các em so sánh đánh giá. Sau đây là chi tiết đề thi mời các em cùng tham khảo.
Tham khảo thêm: Đáp án đề thi tuyển sinh lớp 10 môn Văn tỉnh Quảng Ninh năm 2022
1. Đáp án đề thi vào 10 môn Toán Quảng Ninh 2022
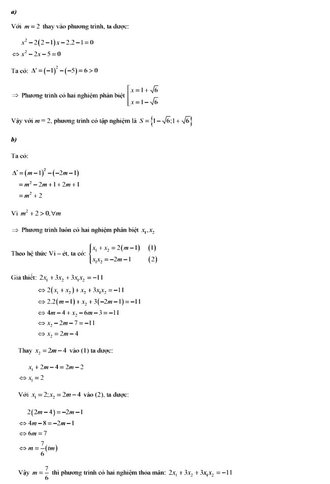
Câu 2

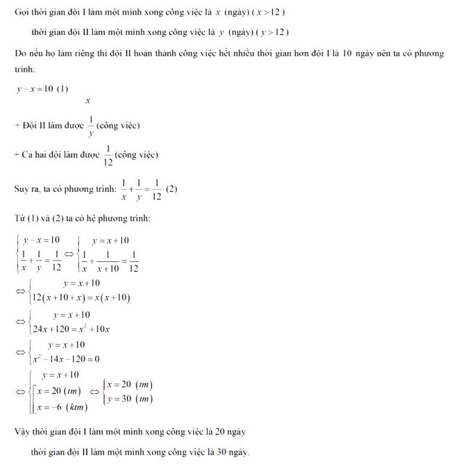
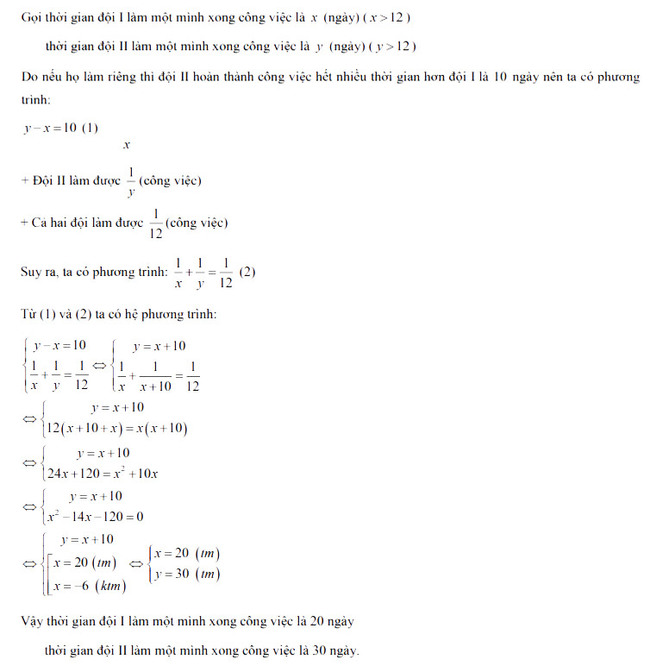
Câu 3

2. Đề thi tuyển sinh lớp 10 môn Toán Quảng Ninh 2022

Ngoài Đáp án đề thi tuyển sinh lớp 10 môn Toán Quảng Ninh năm 2022, mời các bạn tham khảo thêm các môn Toán, Văn, Anh, Lý, Địa, Sinh mà chúng tôi đã sưu tầm và chọn lọc. Với đề Thi vào lớp 10 năm 2026 này giúp các bạn rèn luyện thêm kỹ năng giải đề và làm bài tốt hơn. Chúc các bạn ôn thi tốt.