Đáp án đề thi tuyển sinh lớp 10 môn Toán tỉnh Bắc Kạn năm 2022
Đề thi vào lớp 10 Toán Bắc Kạn năm 2022
VnDoc gửi tới các bạn Đề thi tuyển sinh lớp 10 môn Toán năm 2022 tỉnh Bắc Kạn, có đáp án kèm theo cho các bạn tham khảo. Đề thi môn Toán vào 10 tỉnh Bắc Kạn gồm 5 câu hỏi tự luận, thí sinh làm bài trong thời gian 120 phút. Sau đây mời các bạn theo dõi để so sánh đối chiếu với kết quả bài làm của mình nhé.
Tham khảo thêm: Đáp án và Đề thi vào lớp 10 năm 2022 - Tất cả các tỉnh
1. Đáp án đề thi vào 10 môn Toán Bắc Kạn 2022
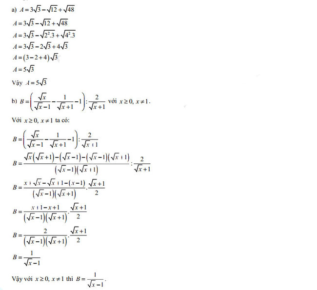
Câu 1

Câu 2
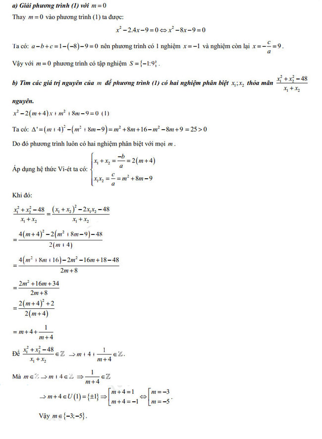
Câu 3
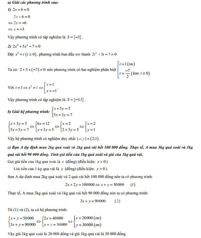
Câu 4
Câu 5
2. Đề thi tuyển sinh lớp 10 môn Toán Bắc Kạn 2022

........................
Trên đây VnDoc đã gửi tới các bạn Đề thi tuyển sinh lớp 10 môn Toán tỉnh Bắc Kạn 2022. Để biết thêm các thông tin khác về kỳ thi tuyển sinh vào lớp 10 năm 2022 như điểm chuẩn, đề thi các trường... mời các em vào chuyên mục Thi vào lớp 10 trên Vndoc để tham khảo nhé.