Đáp án đề thi tuyển sinh lớp 10 môn Toán tỉnh Cần Thơ 2022
Đề thi vào 10 môn Toán Cần Thơ
Sáng ngày 7/6, các thí sinh của tỉnh Cần Thơ tiếp tục bước vào kì thi tuyển sinh lớp 10 năm 2022 với môn Toán. Bài thi Toán sẽ diễn ra trong thời gian 120 phút với dạng đề thi trắc nghiệm và tự luận. Mời các bạn cùng tham khảo chi tiết đề Toán tỉnh Cần Thơ dưới đây.
1. Đáp án đề thi tuyển sinh lớp 10 môn Toán tỉnh Cần Thơ 2022
I. Phần trắc nghiệm
| 1D | 2A | 3C | 4D | 5B | 6B | 7D | 8C | 9A | 10C |
| 11A | 12A | 13C | 14D | 15A | 16B | 17B | 18D | 19B | 20C |
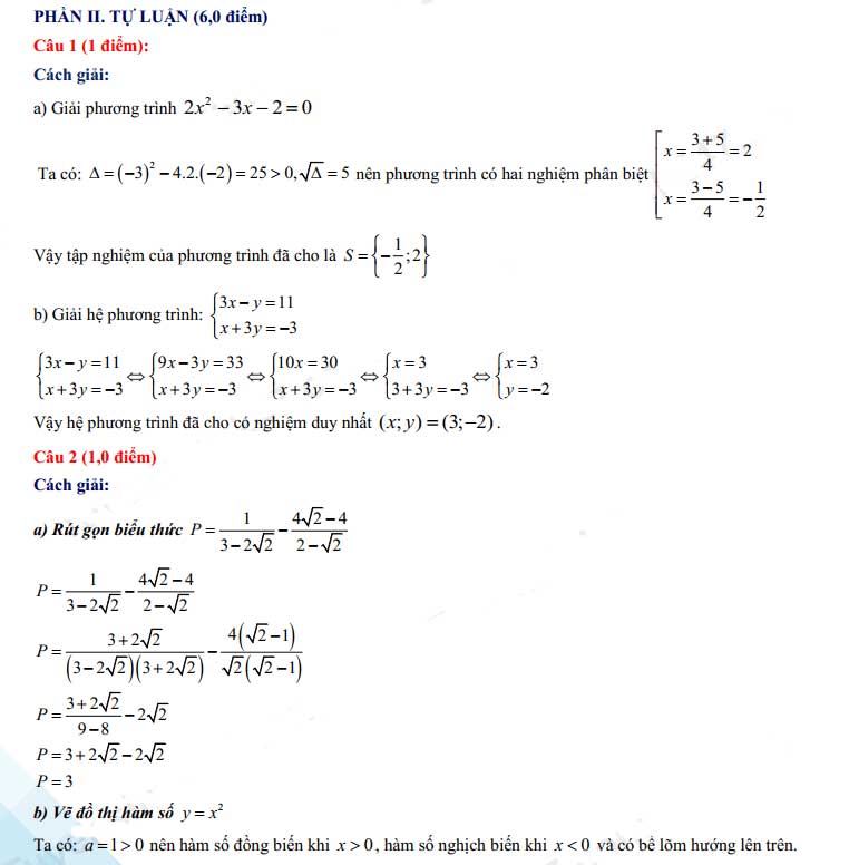
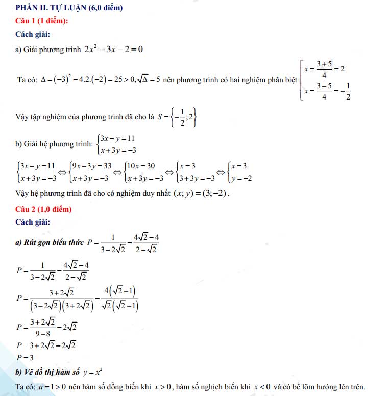
II. Phần tự luận



2. Đề thi tuyển sinh lớp 10 môn Toán tỉnh Cần Thơ 2022




Trên đây là Đáp án đề thi tuyển sinh lớp 10 môn Toán tỉnh Cần Thơ 2022 được VnDoc.com biên soạn, tổng hợp gửi tới bạn đọc. Chúc các bạn đạt kết quả cao trong kì thi này nhé.
Ngoài Đáp án đề thi tuyển sinh lớp 10 môn Toán Cần Thơ năm 2022, mời các bạn tham khảo thêm các môn Toán 9 , Văn 9 , Anh 9 ... để có những tài liệu hay và hữu ích phục vụ cho kỳ thi sắp tới của mình. Chúc các bạn ôn thi tốt.