Đáp án đề thi tuyển sinh lớp 10 môn Toán tỉnh Khánh Hòa 2022
Chiều 3/6, các thí sinh tỉnh Khánh Hòa sẽ tham gia kỳ thi tuyển sinh vào lớp 10 môn Toán năm 2022. VnDoc sẽ gửi tới các bạn Đề thi tuyển sinh lớp 10 môn Toán tỉnh Khánh Hòa kèm đáp án tham khảo ngay sau khi có đề. Mời các bạn theo dõi để so sánh đối chiếu với bài làm của mình nhé.
Đề thi vào 10 môn Toán Khánh Hòa
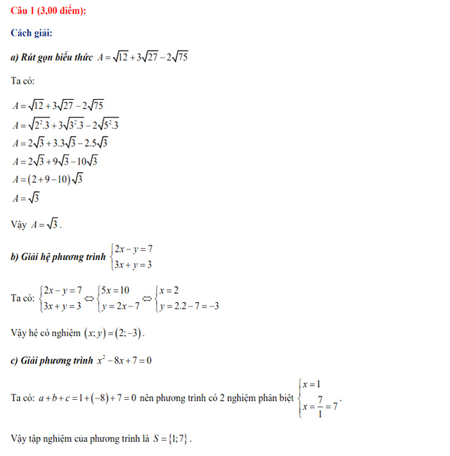
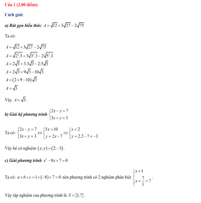
1. Đáp án đề thi vào 10 môn Toán Khánh Hòa 2022

Câu 3

2. Đề thi tuyển sinh lớp 10 môn Toán Khánh Hòa 2022

Chuyên mục đề Thi vào lớp 10 năm 2026 được giới thiệu trên VnDoc bao gồm hệ thống các đề thi khác nhau được cập nhật liên tục, giúp các em có thêm nhiều tài liệu ôn thi, làm quen với đề, rèn luyện thêm kỹ năng giải đề và làm bài tốt hơn.
Ngoài Đáp án đề thi tuyển sinh lớp 10 môn Toán Khánh Hòa năm 2022, mời các bạn tham khảo thêm các môn Toán 9, Văn 9, Anh 9... để có những tài liệu hay và hữu ích phục vụ cho kỳ thi sắp tới của mình. Chúc các bạn ôn thi tốt.