Đáp án đề thi tuyển sinh lớp 10 môn Toán tỉnh Ninh Bình năm 2022
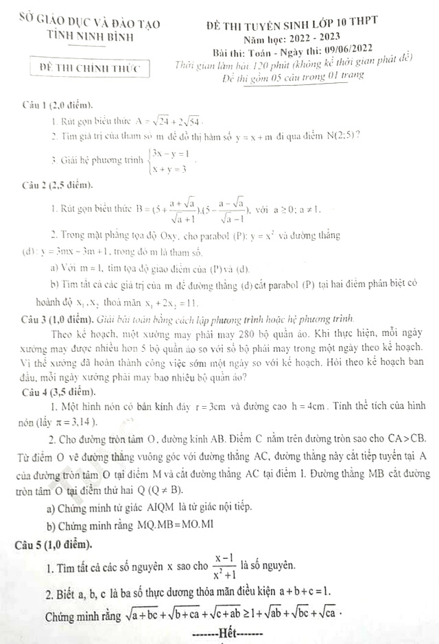
Đề thi vào lớp 10 Toán Ninh Bình năm 2022
Sáng 9/6, các thí sinh tỉnh Ninh Bình tiếp tục hoàn thành bài thi vào lớp 10 môn Toán năm 2022. Sau đây, VnDoc gửi tới các bạn Đề thi tuyển sinh lớp 10 môn Toán tỉnh Ninh Bình kèm đáp án tham khảo. Mời các bạn theo dõi để so sánh đối chiếu với bài làm của mình nhé.
1. Đề thi vào 10 môn Toán Ninh Bình 2022

2. Đáp án đề thi tuyển sinh lớp 10 môn Toán Ninh Bình 2022

........................
Đề thi tuyển sinh lớp 10 môn Toán tỉnh Ninh Bình 2022 là tài liệu thuộc Chuyên mục đề Thi vào lớp 10 năm 2026 được giới thiệu trên VnDoc. Chuyên mục tổng hợp nhiều đề thi mới nhất cho các em ôn luyện và làm quen với nhiều dạng đề khác nhau.
Ngoài Đáp án đề thi tuyển sinh lớp 10 môn Toán Ninh Bình năm 2022, mời các bạn tham khảo thêm các môn Toán 9, Văn 9, Anh 9... để có những tài liệu hay và hữu ích phục vụ cho kỳ thi sắp tới của mình. Chúc các bạn ôn thi tốt.