Đáp án đề thi vào lớp 10 môn Toán chung Chuyên Lê Hồng Phong năm 2023
VnDoc gửi tới các bạn đề thi và Đáp án tham khảo đề thi môn toán vào lớp 10 chuyên Lê Hồng Phong Nam Định 2023 - 2024 dành cho khối chuyên tự nhiên giúp các em tham khảo và đối chiếu kết quả.
Đề thi vào 10 môn Toán năm 2023 chuyên Lê Hồng Phong
Đề thi vào 10 chuyên Tự nhiên Lê Hồng Phong 2023

Đáp án tham khảo Đề thi vào 10 chuyên Tự nhiên Lê Hồng Phong 2023
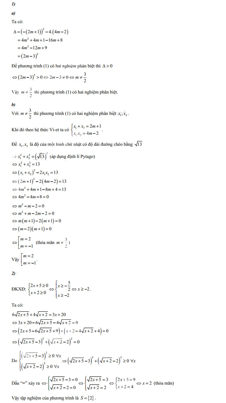
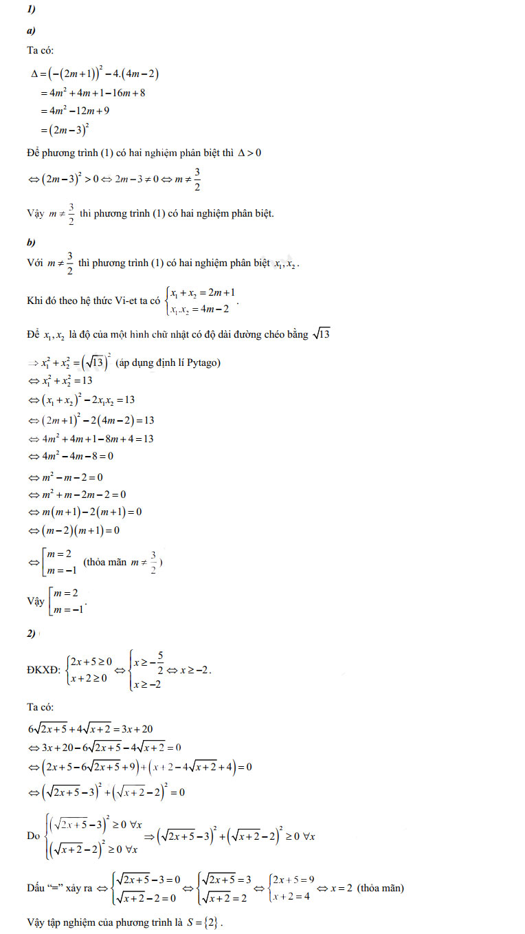
Câu 1:

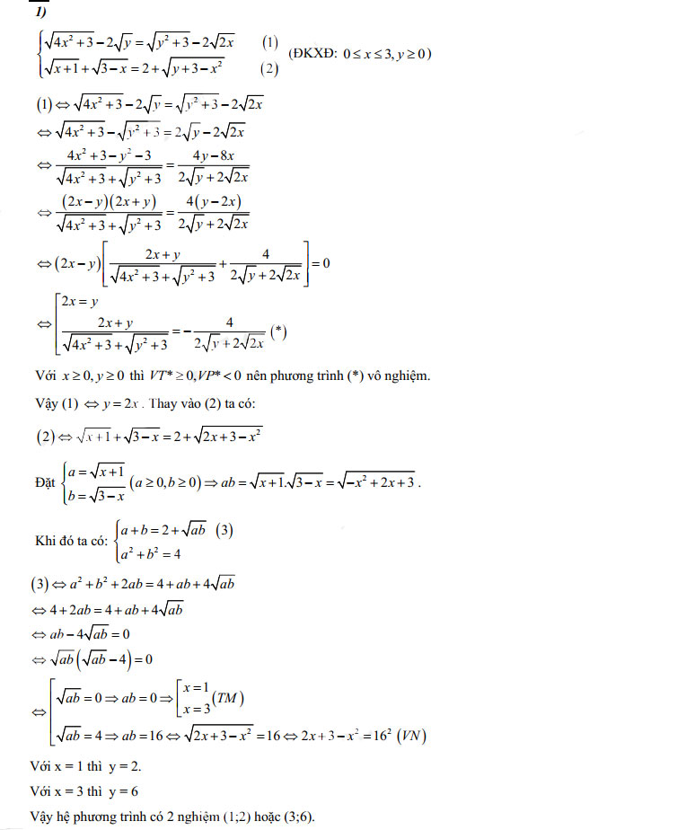
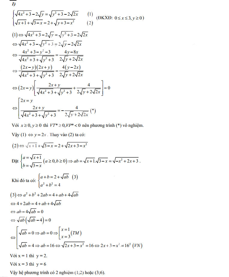
Câu 2:
Câu 3:
Câu 4:


Câu 5:

..............
Trên đây VnDoc đã gửi tới các bạn Đáp án đề thi tuyển sinh lớp 10 môn Toán chung chuyên Lê Hồng Phong, Nam Định năm 2023. Hy vọng đây là tài liệu hữu ích giúp các em học sinh tha khảo, làm quen với nhiều đề thi khác nhau, từ đó có sự chuẩn bị cho kì thi tuyển sinh vào lớp 10 sắp tới.
Để biết thêm các thông tin về kỳ thi tuyển sinh vào lớp 10 năm 2023, mời các em vào chuyên mục Thi vào lớp 10 trên VnDoc nhé. Chúng tôi sẽ cập nhật liên tục các thông tin mới nhất về điểm thi, điểm chuẩn của tất cả các tỉnh thành trên cả nước, mời các bạn theo dõi.