Đáp án đề thi vào lớp 10 môn Toán sở GD&ĐT Sóc Trăng năm 2019
Đáp án Đề thi tuyển sinh lớp 10 môn Toán Sóc Trăng
Đề thi chính thức vào lớp 10 môn Toán của sở Giáo dục và Đạo tạo tỉnh Sóc Trăng năm học 2019 - 2020 kèm đáp án chi tiết nằm trong bộ đề thi vào lớp 10 môn Toán năm 2019 do VnDoc.com sưu tầm và đăng tải. Mời bạn đọc tham khảo!
Lưu ý đề chính thức: Đáp án đề thi tuyển sinh lớp 10 môn Toán tỉnh Sóc Trăng năm 2020
Xem thêm: Tra cứu điểm thi tuyển sinh lớp 10 tỉnh Sóc Trăng năm 2019
Đáp án đề thi vào lớp 10 năm 2019 môn Toán tỉnh Sóc Trăng
Đáp án Chi tiết từng câu hỏi trong đề thi tuyển sinh vào lớp 10 của tỉnh Sóc Trăng như sau:
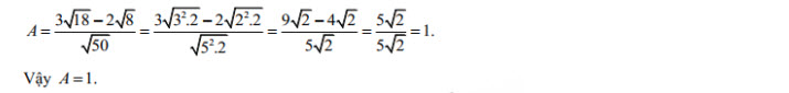
Câu 1

Câu 2

Câu 3

Câu 4

Câu 5

Câu 6

Đề thi chính thức vào lớp 10 THPT môn Toán - tỉnh Sóc Trăng

Trên đây là toàn bộ nội dung của Đáp án đề thi vào lớp 10 môn Toán sở GD - ĐT Sóc Trăng năm 2019. Mời bạn đọc tham khảo thêm nhiều tài liệu ôn thi vào lớp 10 các môn khác như: đề thi vào lớp 10 môn Tiếng Anh, đề thi vào lớp 10 môn Toán, đề thi vào lớp 10 môn Văn, ... được cập nhật liên tục trên VnDoc.com.