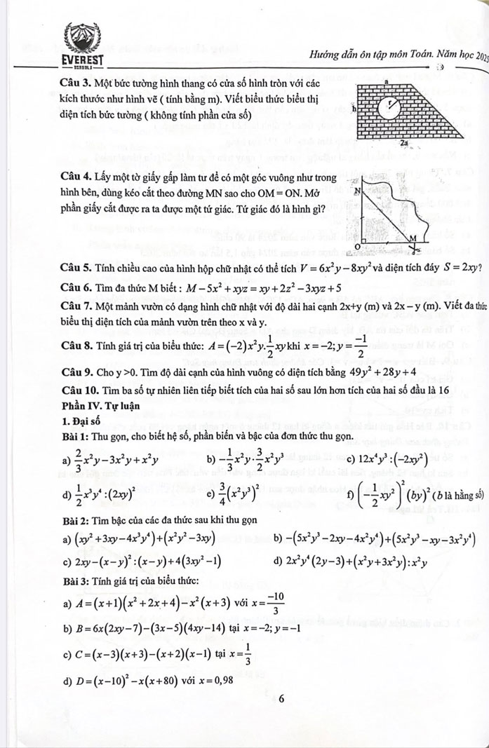
Đề cương ôn tập giữa kì I Toán 8 trường Everest năm 2025-2026
Đề cương ôn tập Giữa kì I môn Toán (2025-2026) của Trường Everest được xây dựng dựa trên chương trình Toán 8 hiện hành, bao gồm đầy đủ các dạng bài tập từ cơ bản đến nâng cao. Tài liệu này không chỉ giúp kiểm tra mức độ nắm vững kiến thức mà còn là công cụ để học sinh luyện tập chuyên sâu và tự đánh giá năng lực bản thân một cách toàn diện.
Việc ôn tập nghiêm túc theo đề cương sẽ giúp các em tăng cường sự tự tin trước kì kiểm tra chính thức và tạo lập một nền tảng kiến thức vững chắc cho các học phần tiếp theo. Chúc các em học tập đạt hiệu quả cao và gặt hái thành công!
Đề cương ôn tập Giữa kì I môn Toán 9







