Đề cương ôn tập học kì 2 môn Toán lớp 12 năm 2017 - 2018 trường THPT chuyên Hà Nội - Amsterdam
VnDoc xin giới thiệu tới các bạn học sinh Đề cương ôn tập học kì 2 môn Toán lớp 12 năm 2017 - 2018 trường THPT chuyên Hà Nội - Amsterdam, huy vọng qua bộ tài liệu các bạn học sinh sẽ rèn luyện giải bài tập Toán nhanh và chính xác hơn. Mời thầy cô cùng các bạn học sinh tham khảo.
Đề cương ôn tập học kì 2 môn Toán lớp 12
Chi tiết Đề cương ôn tập học kì 2 môn Toán lớp 12
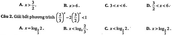
Câu 1: Giải bất phương trình log3 (2x - 3) > 2.

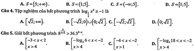
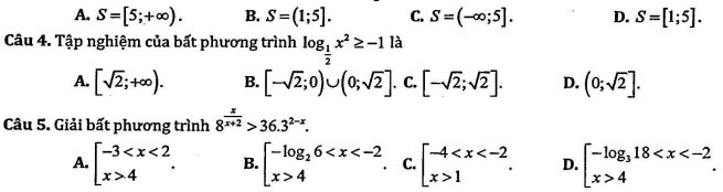
Câu 3: Tìm tập nghiệm của bất phương trình log1/2 (x - 1) ≥ -2.

Đề thi thử THPT quốc gia môn Toán năm 2017 - 2018 trường THPT Trần Phú - Hà Tĩnh (Lần 2)
Đề thi thử THPT quốc gia môn Toán năm 2017 - 2018 trường THPT Bình Minh - Ninh Bình (Lần 2)
Đề kiểm tra học kì 2 môn Toán lớp 12 năm học 2017 - 2018 Sở GD&ĐT Bạc Liêu
---------------------------------------------
Trên đây VnDoc.com đã giới thiệu tới bạn đọc tài liệu: Đề cương ôn tập học kì 2 môn Toán lớp 12 năm 2017 - 2018 trường THPT chuyên Hà Nội - Amsterdam. Để có kết quả cao hơn trong học tập, VnDoc xin giới thiệu tới các bạn học sinh tài liệu Thi thpt Quốc gia môn Toán, Thi thpt Quốc gia môn Hóa học, Thi thpt Quốc gia môn Vật Lý, Thi thpt Quốc gia môn Sinh học mà VnDoc tổng hợp và đăng tải.