Đề cương ôn thi giữa học kì 2 môn Toán lớp 8 trường THCS&THPT Lê Lợi năm 2015 - 2016
Đề cương ôn thi giữa học kì 2 môn Toán lớp 8
Đề cương ôn thi giữa học kì 2 môn Toán lớp 8 trường THCS Lê Lợi năm 2015 - 2016 được VnDoc.com sưu tầm và đăng tải là tài liệu tham khảo hữu ích dành cho các bạn học sinh lớp 8, giúp các bạn ôn tập lại lý thuyết và các dạng câu hỏi để chuẩn bị cho bài thi học kì II sắp diễn ra, mời các bạn tham khảo.
Đề thi giữa học kì 2 môn Toán hình học lớp 8 Phòng GD&ĐT Bình Giang, Hải Dương năm học 2015 - 2016
Đề thi giữa học kì 2 môn Toán đại số lớp 8 Phòng GD&ĐT Bình Giang, Hải Dương năm học 2015 - 2016
Bộ đề thi giữa học kì 2 môn Toán lớp 8
Đề thi giữa học kì 2 môn Toán lớp 8 trường THCS Cự Khê, Hà Nội năm học 2015 - 2016
TRƯỜNG THCS & THPT LÊ LỢI
ĐỀ CƯƠNG ÔN THI GIỮA KÌ 2
NĂM HỌC 2015 – 2016
MÔN: TOÁN 8
I/ LÍ THUYẾT:
A. ĐẠI SỐ:
1. Nắm được cách giải các dạng phương trình: phương trình bậc nhất một ẩn, phương trình đưa về pt bậc nhất một ẩn, phương trình tích, phương trình chứa ẩn ở mẫu.
2. Nắm các bước giải bài toán bằng cách lập phương trình.
B. HÌNH HỌC:
1. Diện tích hình bình hành, hình thang, hình thang, hình thoi.
2. Định lí Talet, định lí đảo và hệ quả Talet.
3. Tính chất đường phân giác của tam giác.
4. Nắm được khái niệm tam giác đồng dạng.
II/ CÁC BÀI TẬP THAM KHẢO:
Bài 1: Giải các phương trình sau
a) 7 + 2x = 32 – 3x
b) 3x +1 = 7x -11
c) 8x – 3 = 5x + 12
d) 4(3x – 2 ) – 3( x – 4 ) = 7x + 10

Bài 2: Giải các phương trình sau
a) (x – 7)(2x + 8) = 0
![]()
c ) 3x. (x – 2) – 5x + 10 = 0
d) (x + 2)(3 - 4x) + (x2 + 4x + 4) = 0
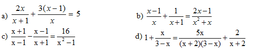
Bài 3: Giải các phương trình sau

Bài 4: Một người đi xe máy từ A đến B với vận tốc trung bình 40 km/h. Lúc về người ấy đi với vận tốc trung bình 30km/h, biết rằng thời gian cả đi lẫn về hết 3giờ 30 phút. Tính quãng đường AB.
Bài 5: Lúc 8 giờ, một xe máy khởi hành từ địa điểm A đến địa điểm B với vận tốc 35km/h. Sau đó 24 phút, trên cùng tuyến đường đó, một ô tô xuất phát từ B đi đến A với vận tốc 45km/h. Biết quãng đường AB dài 90km. Hỏi hai xe gặp nhau lúc mấy giờ?
Bài 6: Cho hình bình hành ABCD có ∠A = ∠D =90o và DC = 2.AB. Biết đáy nhỏ bằng chiều cao của hình thang và bằng 4cm.Tính diện tích hình thang ABCD.
Bài 7: Cho tam giác ABC có AB = 12cm, AC = 20cm, BC = 28cm. Đường phân giác của góc A cắt BC tại D.
a) Tính độ dài các đoạn thẳng BD, DC.
b) Vẽ DE//BC (E ∈ AC). Tính DE
c) Cho biết d ện tích tam giác ABC là 98 cm2 . Tính diện tích các tam giác ABD, ADE.
Bài 8: Cho tam giác ABC vuông tại A, có AB = 6cm, AC = 8cm và tam giác DEF vuông tại D có DE = 9cm, DF = 15cm.
a) Hai tam giác ABC và DEF có đồng dạng không? Vì sao?
b) Tính tỉ số chu vi của hai tam giác ấy?