Đề kiểm tra 1 tiết học kì 1 môn Toán đại số lớp 10 trường THPT Phạm Văn Đồng, Đăk Nông năm học 2016 - 2017
Đề kiểm tra 1 tiết môn Toán lớp 10 có đáp án
Lớp:
Lớp 10
Môn:
Toán
Dạng tài liệu:
Đề thi
Thời gian:
Học kì 1
Loại File:
PDF + Word
Phân loại:
Tài liệu Tính phí
Đề kiểm tra 1 tiết học kì 1 môn Toán đại số lớp 10
Đề kiểm tra 1 tiết học kì 1 môn Toán đại số lớp 10 trường THPT Phạm Văn Đồng, Đăk Nông năm học 2016 - 2017. Đề thi gồm 4 câu hỏi tự luận với thời gian làm bài là 45 phút. Để thuận tiện hơn cho các bạn trong quá trình đối chiếu kết quả bài làm sau khi làm xong chúng tôi đã cập nhật đầy đủ và chính xác đáp án. Mời các bạn tham khảo.
Đề kiểm tra 45 phút học kì 1 môn Toán lớp 10 trường THPT Phan Ngọc Hiển, Cà Mau năm học 2016 - 2017
| SỞ GD&ĐT ĐĂK NÔNG TRƯỜNG THPT PHẠM VĂN ĐỒNG |
ĐỀ KIỂM TRA 1 TIẾT HỌC KÌ 1 NĂM HỌC 2016 - 2017 MÔN: TOÁN ĐẠI SỐ 10 Thời gian làm bài: 45 phút |

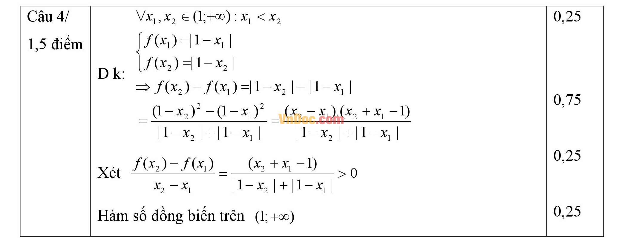
ĐÁP ÁN ĐỀ KIỂM TRA 1 TIẾT HỌC KÌ 1 MÔN TOÁN ĐẠI SỐ LỚP 10

