Đề kiểm tra 1 tiết môn Toán Chương 3 lớp 6 - Đề 3
Đề kiểm tra 45 phút Toán lớp 6 Chương 3
Đề kiểm tra 1 tiết môn Toán Chương 3 lớp 6 - Đề 3 bao gồm đáp án chi tiết cho từng dạng bài tập sẽ giúp các em học sinh ôn tập hệ thống lại kiến thức ôn tập chương trình học Toán 6 chương 3, ôn thi cuối học kì 2 hiệu quả đạt kết quả cao. Mời các em cùng tham khảo chi tiết.
Đề bài kiểm tra 1 tiết Chương 3 môn Toán lớp 6
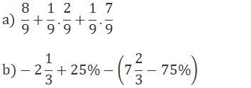
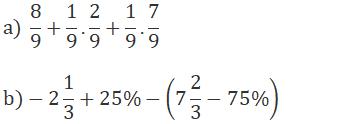
Bài 1. (2 điểm) Tính bằng cách hợp lí (nếu có thể):

Bài 2. (2 điểm) Tìm 70% của A biết rằng:

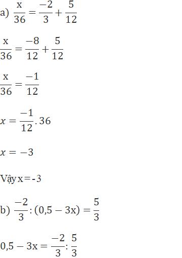
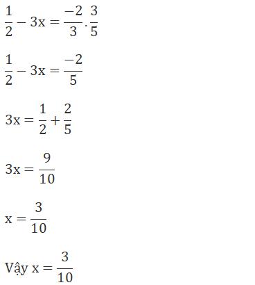
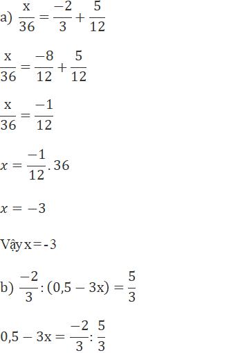
Bài 3. (3 điểm) Tìm x, biết:

c) |x - 1| = 25%
Bài 4. (3 điểm) Lớp 6A có 40 học sinh. Số học sinh giỏi bằng 22,5% số học sinh cả lớp. số học sinh trung bình bằng 200% số học sinh giỏi. Còn lại là học sinh khá. Tính số học sinh mỗi loại của lớp 6A và tỉ số phần trăm số học sinh khá so với số học sinh cả lớp.
Đáp án đề kiểm tra 45 phút môn Toán lớp 6
Bài 1.

= - 10 + 1 = -9
Bài 2. Ta có:

Bài 3.


c) |x - 1| = 25%

Bài 4.
Số học sinh giỏi của lớp 6A là:
40 . 22,5% = 9 (học sinh)
Số học sinh trung bình của lớp 6A là:
9 . 200% = 18 ( học sinh)
Số học sinh khá của lớp 6A là:
40 – 9 – 18 = 13 (học sinh)
Tỉ số phần trăm số học sinh khá so với học sinh cả lớp là:

Ngoài Đề kiểm tra 1 tiết môn Toán Chương 3 lớp 6 - Đề 3 mới nhất trên, các em học sinh tham khảo các bài giải SGK môn Toán lớp 6, Môn Ngữ văn 6, Môn Vật lý 6, môn Sinh Học 6, môn Địa lý lớp 6, môn Lịch sử lớp 6....và các đề thi học kì 2 lớp 6 để chuẩn bị cho các bài thi đề thi học kì 2 đạt kết quả cao.