Đề kiểm tra 15 phút Chương 3 - Đại số lớp 6 - Đề 2
Đề kiểm tra 15 phút - Chương 3 - Số học lớp 6
Đề kiểm tra 15 phút - Chương 3 - Đại số lớp 6 - Đề 2 bao gồm đáp án chi tiết cho từng dạng bài tập sẽ giúp các em học sinh ôn tập hệ thống lại kiến thức ôn tập chương trình học Toán 6 chương 2 Số học ôn thi giữa học kì 2 lớp 6 và cuối học kì 2 hiệu quả đạt kết quả cao. Mời các em cùng tham khảo chi tiết.
Đề bài kiểm tra 15 phút Đại số lớp 6
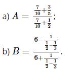
Câu 1. (4 điểm)

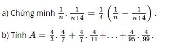
Câu 2. (6 điểm)

Đáp án đề kiểm tra 15 phút môn Toán lớp 6
Câu 1.

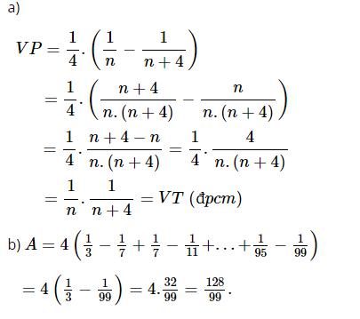
Câu 2.

Đề kiểm tra 15 phút Chương 3 - Đại số lớp 6 - Đề 2 bao gồm 2 câu hỏi có đáp án chi tiết cho từng câu cho các em học sinh ôn luyện Toán Số học 6 Chương 3 về Phân số.
Ngoài ra, các em học sinh tham khảo các bài giải SGK môn Toán lớp 6, Môn Ngữ văn 6, Môn Vật lý 6, môn Sinh Học 6, Môn Địa lý, Môn Lịch sử ....và các đề thi học kì 2 lớp 6 để chuẩn bị cho các bài thi đề thi học kì 1 đạt kết quả cao.