Đề kiểm tra 15 phút môn Toán Chương 1 Hình học lớp 6 - Đề 3
Đề kiểm tra 15 phút Toán lớp 6 Chương 1
Đề kiểm tra 15 phút môn Toán Chương 1 Hình học lớp 6 - Đề 3 bao gồm đáp án chi tiết cho từng dạng bài tập sẽ giúp các em học sinh ôn tập hệ thống lại kiến thức ôn tập chương trình học Toán 6 chương 1, ôn thi giữa 1 lớp 6 và cuối học kì 1 hiệu quả đạt kết quả cao. Mời các em cùng tham khảo chi tiết.
Đề bài kiểm tra 15 phút môn Toán lớp 6 - Hình học - Đề 3
Bài 1. (4 điểm) Xem hình vẽ bên trái và trả lời các câu hỏi sau:

a) Điểm A thuộc các đường thẳng nào?
b) Các điểm nào nằm ngoài đường thẳng m?
c) Các điểm nào nằm trên đường thẳng q?
Bài 2. (6 điểm) Trên tia Ox cho hai điểm A, B sao cho OA = 2 cm, OB = 8 cm.
a) Trong ba điểm O, A, B điểm nào nằm giữa hai điểm còn lại? Vì sao?
b) Tính độ dài đoạn thẳng AB
c) Gọi C là trung điểm đoạn thẳng AB. So sánh OA và AC
Đáp án đề kiểm tra 15 phút môn Toán lớp 6
Bài 1.
a) Điểm A thuộc các đường thẳng m, n, p.
b) Các điểm nằm ngoài đường thẳng m là B, D
c) Các điểm nằm trên đường thẳng q là B, D, C
Bài 2.

a) Trên tia Ox có A, B và OA < OB (vì 2 cm < 8 cm), nên A nằm giữa O và B
b) Ta có: OA + AB = OB (vì A nằm giữa O và B)
2 + AB = 8
AB = 8 – 2 = 6 (cm)
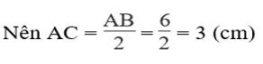
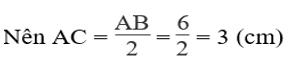
c) Vì C là trung điểm của đoạn thẳng AB

Ta có: 2 cm < 3 cm. Do đó: OA < AC