Đề kiểm tra 15 phút môn Toán Chương 3 lớp 6 - Đề 2
Đề kiểm tra 15 phút môn Toán Chương 3 Số học lớp 6
Đề kiểm tra 15 phút Toán lớp 6 Chương 3 Số học - (Đề 2) bao gồm đáp án chi tiết cho từng dạng bài tập sẽ giúp các em học sinh ôn tập hệ thống lại kiến thức ôn tập chương trình học Toán 6 chương 3, ôn thi cuối học kì 2 hiệu quả đạt kết quả cao. Mời các em cùng tham khảo chi tiết.
Đề bài kiểm tra 15 phút môn Toán lớp 6 - Số học Chương 3 Đề 2
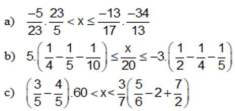
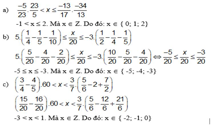
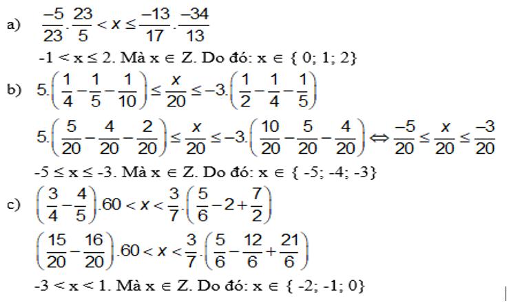
Bài 1. (4 điểm) Tìm x ∈ Z, biết:

Bài 2. (6 điểm) Cho biểu thức:

a) Tìm các số nguyên x để biểu thức A là phân số
b) Tìm các số nguyên x để A là một số nguyên
>> Tham khảo: Đề kiểm tra 15 phút Toán lớp 6 Chương 3 Số học - (Đề 1)
Đáp án đề kiểm tra 15 phút môn Toán lớp 6
Bài 1.

Bài 2.
a) A là phân số ⇔ x + 5 ≠ 0 ⇔ x ≠ -5
b) A là một số nguyên ⇔ (x – 2) ⋮(x + 5)
Ta có: x – 2 = [(x + 5) – 7] ⋮(x + 5) ⇔ 7 ⋮(x + 5) ⇔ x + 5 là ước của 7
x + 5 ∈ { 1 ; -1 ; 7 ; -7 }
x ∈ { -4 ; -6 ; 2 ; -12 }
Ngoài Đề kiểm tra 15 phút môn Toán Chương 3 lớp 6 - Đề 2 mới nhất trên, các em học sinh tham khảo các bài giải SGK môn Toán lớp 6, Môn Ngữ văn 6, Môn Vật lý 6, môn Sinh Học 6, môn Địa lý lớp 6, môn Lịch sử lớp 6....và các đề thi học kì 2 lớp 6 để chuẩn bị cho các bài thi đề thi học kì 2 đạt kết quả cao.