Đề kiểm tra chất lượng học kỳ I lớp 12 năm học 2014-2015 tỉnh Bắc Giang
Đề thi học kì 1 môn Toán lớp 12
Đề kiểm tra chất lượng học kỳ I lớp 12 năm học 2014-2015 tỉnh Bắc Giang là đề thi học kì 1 môn Toán lớp 12 được VnDoc.com sưu tầm và đăng tải. Đề thi có đáp án đi kèm, hi vọng sẽ giúp các bạn củng cố kiến thức hiệu quả. Chúc các bạn học tốt.
Bộ đề thi học kì 1 môn Toán lớp 12 năm học 2016 - 2017 (Số 1)
Đề thi học kì 1 môn Toán lớp 12 Sở GD&ĐT Ninh Thuận năm học 2016 - 2017
Đề cương ôn tập học kì 1 môn Toán lớp 12 năm học 2016 - 2017
| SỞ GIÁO DỤC VÀ ĐÀO TẠO BẮC GIANG |
ĐỀ KIỂM TRA CHẤT LƯỢNG HỌC KÌ I NĂM HỌC 2014-2015 MÔN: TOÁN LỚP 12 Thời gian làm bài: 90 phút, không kể thời gian giao đề |
Câu 1 (3,0 điểm). Cho hàm số y = -x3 + 3x2 - 2 (1).
- Khảo sát sự biến thiên và vẽ đồ thị (C) của hàm số (1).
- Viết phương trình tiếp tuyến của đồ thị (C) biết tiếp tuyến song song với đường thẳng d: y = -9x + 1.
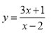
Câu 2 (1,0 điểm). Tìm m để đồ thị (C1) của hàm số
và đường thẳng Δ: y = 2x + m cắt nhau tại hai điểm phân biệt A, B sao cho đoạn AB ngắn nhất.
Câu 3 (2,0 điểm)
- Cho hàm số f(x) = xlnx - 3x. Tính f' (e2).
- Tính giá trị của biểu thức:

Câu 4 (3,0 điểm). Cho hình chóp S.ABCD có đáy ABCD là hình vuông, mặt bên SAB là tam giác vuông cân tại S, SA = a và mặt phẳng (SAB) vuông góc với mặt đáy. Gọi H là trung điểm của cạnh AB.
- Chứng minh SH ⊥ (ABCD). Tính thể tích của khối chóp S.ABCD.
- Xác định tâm và tính bán kính mặt cầu ngoại tiếp khối chóp S.ABCD.
- Gọi G là trọng tâm của tam giác SAB. Mặt phẳng (GCD) chia khối chóp thành hai phần. Tính tỷ số thể tích của hai phần đó.
Câu 5 (1,0 điểm). Cho hai số thực dương x, y. Chứng minh rằng:

Đáp án đề thi học kì 1 môn Toán lớp 12



