Đề cương ôn tập học kì 1 môn Toán lớp 12 năm học 2016 - 2017
Đề cương ôn tập học kì 1 môn Toán lớp 12
Đề cương ôn tập học kì 1 môn Toán lớp 12 năm học 2016 - 2017 gồm các dạng bài tập về: ứng dụng của đạo hàm, bài toán khảo sát và vẽ đồ thị hàm số, lũy thừa và logarit,... Hi vọng tài liệu này sẽ giúp các bạn ôn tập và nâng cao kiến thức môn Toán giải tích và hình học hiệu quả, từ đó chuẩn bị tốt nhất cho bài thi cuối học kì 1 và luyện thi THPT Quốc gia 2017. Mời các bạn tham khảo.
ĐỀ CƯƠNG ÔN TẬP HỌC KỲ I
NĂM HỌC 2016 – 2017
A. NỘI DUNG ÔN TẬP.
I. GIẢI TÍCH.
a. Ứng dụng của đạo hàm.
- Bài toán tìm giá trị lớn nhất nhỏ nhất của hàm số.
b. Bài toán khảo sát và vẽ đồ thị hàm số và các bài toán liên quan.
- Khảo sát và vẽ đồ thị hàm số.
- Bài toán viết phương tình tiếp tuyến.
- Bài toán tương giao.
c. Lũy thừa và logarit.
d. Hàm số mũ hàm số logarit.
e. Phương trình bất phương trình mũ và logarit.
II. HÌNH HỌC.
B. CÁC BÀI TẬP HƯỚNG DẪN HỌC SINH ÔN TẬP.
I. GIẢI TÍCH.
Bài tập 1. Tìm giá trị lớn nhất, giá trị nhỏ nhất (nếu có) của hàm số
- y = -3x2 - 4x - 8 trên đoạn [-1; 0].
- y = -2x3 - 3x2 + 12x + 10 trên đoạn (-3; 3].
- y = -x3 + 3x2 + 9x - 5 trên đoạn [-3; 4].
trên đoạn [3/2; 5].
trên khoảng (1; +∞)- y = x4 - 4x3 + 4x2 - 1 trên đoạn [-1; 3/2].
- y = cos2x + cosx - 3
- y = 2 - cos2x + 2sinx

Bài tập 2. Cho hàm số
(1) có đồ thị (C).
1. Khảo sát sự biến thiên và vẽ đồ thị (C) của hàm số (1).
2. Viết phương trình tiếp tuyến của đồ thị (C) biết
a. Tiếp tuyến đó tiếp xúc với (C) tại điểm A(0; 1).
b. Tiếp tuyến đó song song với đường thẳng d: y = -4x.
c. Tiếp tuyến đó vuông góc với đường thẳng d1 = 2x + y + 2 = 0.
d. Tiếp tuyến đó có hệ số góc lớn nhất.
3. Dựa vào đồ thị (C) biện luận theo m số nghiệm của phương trình 2x3 + 9x2 = m (m là tham số thực).
4. Tìm tập các giá trị của tham số thực m để đường thẳng dm: y = mx - 1 cắt đồ thị (C) tại 3 điểm phân biệt.
Bài tập 3. Cho hàm số
(1) có đồ thị (C).
1. Khảo sát sự biến thiên và vẽ đồ thị (C) của hàm số (1).
2. Viết phương trình tiếp tuyến của đồ thị (C) biết
a. Tiếp tuyến đó tiếp xúc với (C) tại giao điểm của (C) với trục Oy.
b. Tiếp tuyến đó tiếp xúc với (C) tại giao điểm của (C) với đường thẳng d: y = 4.
c. Tiếp tuyến đó song song với đường thẳng d1: y = -3x + 3.
d. Tiếp tuyến đó vuông góc với đường thẳng d2: 6x + y - 6 = 0.
e. Tiếp tuyến đó có hệ số góc nhỏ nhất.
3. Tìm tập giá trị tham số thực m để phương trình 2x3 + 3x2 - 12x = m có ba nghiệm phân biệt.
4. Tìm tập các giá trị của tham số thực m để đường thẳng dm: y = mx - 1 cắt đồ thị (C) tại 3 điểm phân biệt.
Bài tập 4. Cho hàm số
(1) có đồ thị (Cm) (m là tham số thực).
1. Tìm tập giá trị của m để đồ thị (Cm) đi qua gốc tọa độ O(0; 0). Khảo sát sự biến thiên và vẽ đồ thị (C) của hàm số (1) với m vừa tìm được.
2. Viết phương trình tiếp tuyến của đồ thị (C) biết
a. Tiếp tuyến đó tiếp xúc với (C) tại giao điểm của (C) với trục Ox.
b. Tiếp tuyến đó tiếp xúc với (C) tại giao điểm của (C) với parabol
.
c. Tiếp tuyến đó song song với đường thẳng d1: y = 6x - 6.
d. Tiếp tuyến đó có hệ số góc nhỏ nhất.
3. Biện luận theo tham số thực k số nghiệm của phương trình x3 - 6x2 + 9x = k.
4. Tìm tập giá trị của m để đồ thị (Cm) cắt trục Ox tại 3 điểm phân biệt.
5. Tìm tập các giá trị của m để đường thẳng dm: y = mx + m - 1 cắt đồ thị (Cm) tại 3 điểm phân biệt.
Bài tập 5. Cho hàm số y = -x3 - 3x2 + 4x + 3m - 2 (1) có đồ thị (Cm) (m là tham số thực).
1. Tìm tập giá trị của m để tiếp tuyến của (Cm) tại điểm có hoành độ x = -1 song song với đường thẳng dm: y = (m + 6)x - 1.
Khảo sát sự biến thiên và vẽ đồ thị (C) của hàm số (1) với m vừa tìm được.
2. Viết phương trình tiếp tuyến của đồ thị (C) biết
a. Tiếp tuyến đó tiếp xúc với (C) tại giao điểm của (C) với trục Oy.
b. Tiếp tuyến đó vuông góc với đường thẳng d: x + 5y - 2 = 0.
c. Tiếp tuyến đó có hệ số góc lớn nhất.
3. Biện luận theo tham số thực k số nghiệm của phương trình x3 + 3x2 - 4x = k.
4. Tìm tập giá trị của m để đồ thị (Cm) cắt trục Ox tại 3 điểm phân biệt.
5. Chứng minh hàm số luôn có cực đại và cực tiểu với mọi giá trị của m. Tìm tập giá trị của m để các điểm cực trị của đồ thị hàm số nằm cùng phía với trục Ox.
6. Tìm tập các giá trị của m để đường thẳng dm: y = mx + 3m - 2 cắt đồ thị (Cm) tại 3 điểm phân biệt.
Bài tập 6. Cho hàm số
(1) có đồ thị (Cm) (m là tham số thực).
1. Tìm tập giá trị của m để đồ thị (Cm) cắt trục Oy tại điểm có tung độ y = -1. Khảo sát sự biến thiên và vẽ đồ thị (C) của hàm số (1) với m vừa tìm được.
2. Viết phương trình tiếp tuyến của đồ thị (C) biết
a. Tiếp tuyến đó tiếp xúc với (C) tại giao điểm của (C) với trục Oy.
b. Tiếp tuyến đó song song với đường thẳng d: y + 3x = 0.
c. Tiếp tuyến đó có hệ số góc nhỏ nhất.
3. Biện luận theo tham số thực k số nghiệm của phương trình x3 + 6x2 + 9x - k = 0.
4. Tìm tập giá trị của m hàm số nghịch biến trên R.
5. Tìm tập các giá trị của tham số thực m để đường thẳng dm: y = m - 1 cắt đồ thị (C) tại 3 điểm phân biệt.
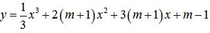
Bài tập 7. Cho hàm số y = mx3 + 2(m + 1)x2 + 3(m + 1)x + m - 1 (1) có đồ thị (Cm) (m là tham số thực). Tìm tập giá trị của tham số m để hàm số đông biến trên R.
Bài tập 8. Cho hàm số y = x4 - 2(m + 1)x2 - 3m (1) có đồ thị (Cm) (m là tham số thực).
1. Tìm tập giá trị của m để (Cm) cắt trục tung tại điểm A(0; -3), khảo sát và vẽ đồ thị (C) của hàm số (1) (y = f(x)) khi đó.
2. Biện luận theo k số nghiệm của phương trình x4 - 4x2 = k.
3. Viết phương trình tiếp tuyến của (C) tại điểm có hoành độ là nghiệm của phương trình f''(x) = 0.
4. Tìm tập giá trị của m để hàm số (1) có 3 điểm cực trị.
Bài tập 9. Cho hàm số
(1) có đồ thị (C).
1. Khảo sát sự biến thiên và vẽ đồ thị (C) của hàm số (1).
2. Viết phương trình tiếp tuyến của đồ thị (C) biết
a. Tiếp tuyến đó tiếp xúc với (C) tại giao điểm của (C) với trục Ox.
b. Tiếp tuyến đó song song với đường thẳng d: y - 5x - 6 = 0.
c. Tiếp tuyến đó vuông góc với đường thẳng d1: 5y + 4x - 5 = 0
3. Tìm tập giá trị thực của tham số m để đường thẳng dm: y = mx - 4 cắt (C) tại hai điểm phân biệt.
4. Tìm tập giá trị thực của tham số m để đường thẳng Δm: y = mx + 2 cắt (C) tại hai điểm phân biệt A, B và chúng nằm trên cùng một nhánh của (C).
5. Chứng minh rằng đường thẳng lm: y = -2x + m luôn cắt (C) tại hai điểm phân biệt C, D. Tìm tập giá trị của m để CD nhỏ nhất.
6. Tìm các điểm trên (C) sao cho hoành độ và tung độ của nó là các số nguyên.
7. Chứng minh rằng tích khoảng cách từ một điểm M0(x0; y0) ∈ (C) đến các đường tiệm cận của (C) là một hằng số.
8. Tìm các điểm trên (C) sao cho điểm đó cách đều các đường tiệm cận của (C).
9. Tìm các điểm trên (C) sao cho điểm đó cách đều các trục tọa độ.
10. Tiếp tuyến tại điểm M0(x0; y0) ∈ (C) cắt các đường tiệm cận của (C) tại các điểm A, B.
a. Chứng minh rằng M0 là trung điểm của đoạn AB.
b. Tam giác IAB có diện tích không đổi (I là giao điểm các đường tiệm cận của (C)).
11. Tìm điểm M0(x0; y0) ∈ (C) sao cho tam giác IAB cân.
12. Tìm điểm M0(x0; y0) ∈ (C) sao cho tiếp tuyến của (C) tại M0 cắt các trục tọa độ tại các điểm C, D và tam giác OCD có diện tích bằng 1/10.
Bài tập 10. Cho hàm số
(1) có đồ thị (C).
1. Khảo sát sự biến thiên và vẽ đồ thị (C) của hàm số (1).
2. Viết phương trình tiếp tuyến của đồ thị (C) biết
a. Tiếp tuyến đó tiếp xúc với (C) tại giao điểm của (C) với trục Oy.
b. Tiếp tuyến đó song song với đường thẳng d: y + x + 9 = 0.
c. Tiếp tuyến đó vuông góc với đường thẳng d: y - 4x - 5 = 0.
3. Tìm tập giá trị thực của tham số m để đường y = mx - 1 thẳng cắt (C) tại hai điểm phân biệt.
4. Tìm tập giá trị thực của tham số m để đường thẳng y = mx - 2 cắt (C) tại hai điểm phân biệt A, B và chúng thuộc hai nhánh khác nhau của (C).
5. Chứng minh rằng đường y = 3x + m thẳng cắt (C) tại hai điểm phân biệt C, D và tiếp tuyến của (C) tại C, D song song với nhau.
6. Tìm các điểm trên (C) sao cho hoành độ và tung độ của nó là các số nguyên.
7. Chứng minh rằng tích khoảng cách từ một điểm M0(x0; y0) ∈ (C) đến các đường tiệm cận của (C) là một hằng số.
8. Tìm các điểm trên (C) sao cho điểm đó cách đều các đường tiệm cận của (C).
Mời các bạn tải file đầy đủ về tham khảo.
trên đoạn [3/2; 5].