Đề cương ôn tập giải tích môn Toán lớp 12 học kì 2
Đề cương ôn tập giải tích môn Toán lớp 12 học kì 2
Đề cương ôn tập giải tích môn Toán lớp 12 học kì 2 gồm lý thuyết và bài tập của các phần: số phức, nguyên hàm, tích phân và ứng dụng, giúp các bạn ôn tập và nâng cao kiến thức môn Toán giải tích hiệu quả, từ đó chuẩn bị tốt nhất cho bài thi cuối học kì 2 và luyện thi THPT Quốc gia 2016. Mời các bạn tham khảo.
Đề thi giữa học kì 2 môn Toán lớp 12 trường THPT Hiệp Bình, Hồ Chí Minh năm 2014 - 2015
Đề thi học kì 2 môn Toán lớp 12 tỉnh Quảng Bình năm học 2014 - 2015
A. CHUẨN BỊ KIẾN THỨC
I. DẠNG ĐẠI SỐ CỦA SỐ PHỨC.
1. Một số phức là một biểu thức có dạng a + bi, trong đó a, b là các số thực và số i thoả mãn i2 = -1. Ký hiệu số phức đó là z và viết z = a + bi.
i được gọi là đơn vị ảo
a được gọi là phần thực. Ký hiệu Re(z) = a
b được gọi là phần ảo của số phức z = a + bi, ký hiệu Im(z) = b
Tập hợp các số phức ký hiệu là C.
*) Một số lưu ý:
- Mỗi số thực a dương đều được xem như là số phức với phần ảo b = 0.
- Số phức z = a + bi có a = 0 được gọi là số thuần ảo hay là số ảo.
- Số 0 vừa là số thực vừa là số ảo.
2. Hai số phức bằng nhau.
Cho z = a + bi và z' = a' + b'i.
![]()
3. Biểu diễn hình học của số phức.
Mỗi số phức được biểu diễn bởi một điểm M(a;b) trên mặt phẳng toạ độ Oxy.
Ngược lại, mỗi điểm M(a;b) biểu diễn một số phức là z = a + bi.
4. Phép cộng và phép trừ các số phức.
Cho hai số phức z = a + bi và z' = a' + b'i. Ta định nghĩa:

5. Phép nhân số phức.
Cho hai số phức z = a + bi và z' = a' + b'i. Ta định nghĩa:
zz' = aa' - bb' + (ab' - a'b)i
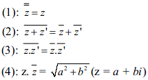
6. Số phức liên hợp.

*) Tính chất của số phức liên hợp:

(Còn tiếp)