Đề thi thử Đại học lần 01 năm 2016 Khối A, A1
Đề thi thử THPT Quốc gia 2016 môn Toán
Đề thi thử Đại học lần 1 năm 2016 Khối A và A1 môn Toán có đáp án được giới thiệu đến các em học sinh ôn luyện kiến thức để chuẩn bị cho kỳ thi THPT Quốc gia sắp tới được thay thế cho kỳ thi tốt nghiệp THPT và tuyển sinh đại học năm 2016. Mẫu đề thi thử đại học môn Toán này được các thầy cô thuộc Trung tâm bồi dưỡng văn hóa và luyện thi Đại học Thành Nhân ra đề và gợi ý đáp án.
Bộ đề thi thử THPT Quốc gia năm 2016 môn Toán - Số 1
Câu 1. (2 điểm)
a) Khảo sát biến thiên và vẽ đồ thị (C) của hàm số y = x3 - 3x2 + 2
b) Tìm giá trị tham số m∈R thì đồ thị của hàm số y = -x4 + 4mx2 - 4m có 3 cực trị là 3 đỉnh của 1 tam giác nhận H (0; 3/4).
Câu 2. (1 điểm) Giải phương trình:
sin2x + 1/2.tanx = 3/2 - cos2x
Câu 3. (1 điểm) Tính giới hạn:
![]()
Câu 4. (1 điểm). Trong mặt phẳng (P), cho hình thoi ABCD có độ dài các cạnh bằng a,
Gọi G là trọng tâm tam giác ABD. Trên đường thẳng vuông góc với (P) tại G lấy điểm S sao cho
Tính thể tích khối chóp S.ABCD và khoảng cách từ điểm G đến mặt phẳng (SBD) theo a.
Câu 5. (1 điểm)
a) Từ các chữ số 0,1,2,3,4,5,6 có thể lập được bao nhiêu số chẵn có 4 chữ số khác nhau nhỏ hơn 4321 đồng thời các chữ số 1 và 3 luôn có mặt và đứng cạnh nhau.
b) Chứng minh rằng: với mọi cặp số nguyên
Tìm số nguyên n > 4 biết rằng:
![]()
Câu 6. (1 điểm) Trong mặt phẳng với hệ trục tọa độ Oxy, ho tam giác ABC có phương trình các đường thẳng AB, AC lần lượt là 4x - 3y - 20 = 0; 2x + y + 10 = 0. Đường tròn (C) đi qua trung điểm của cácđoạn thẳng HA, HB, HC có phương trình là (x-1)2 + (y+2)2= 25, trong đó H là trực tâm của tam giác ABC. Tìm tọa độ điểm H biết xc > - 4.
Câu 7. (1 điểm) Trong mặt phẳng với hệ trục tọa độ Oxy ,cho hình vuông ABCD có M là trung điểm của cạnh BC , N thuộc cạnh AC sao cho AN = 1/4. AC. Biết MN có phương trình 3x - y - 4 = 0 và D(5;1) . Tìm tọa độ của điểm B biết M có tung độ dương.
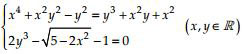
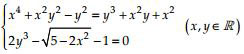
Câu 8. (1 điểm) Giải hệ phương trình:

Câu 9. (1 điểm) Cho a,b,c là các số dương thỏa mãn: 2(a² + b² + c²) = ab + bc + ac + 3. Tìm giá trị lớn nhất của:
S = a² + b² + c² + 1/(a + b + c + 3).
Đáp án đề thi thử THPT Quốc gia môn Toán
Đề thi minh họa và đáp án kỳ thi THPT Quốc gia năm 2016 môn Toán
Đề thi thử THPT Quốc gia môn Toán lần 1 năm 2016 trường THPT Chuyên Vĩnh Phúc
Hướng dẫn giải
a) Khảo sát biến thiên và vẽ đồ thị (C) của hàm số y = x3 - 3x2 + 2
- Hàm số đã cho xác định trên R
- Ta có: y' = 3x² - 6x = 3x(x - 2) → y' = 0 tương đương với x = 0 hoặc x = 2.
- Giới hạn :
![]()
- Bảng biến thiên:

- Hàm đồng biến trên mỗi khoảng (−∞;0) và (2; +∞) , nghịch biến trên (0; 2) .
- Hàm số đạt cực đại tại điểm x = 0 với giá trị cực đại của hàm số là y (0 2 ) = và hàm số đạt cực tiểu tại điểm x = 2 với giá trị cực tiểu của hàm số là y (2) = -.2
- Đồ thị:

- Điểm đặc biệt: y" = 6x - 6,y" = 0 ↔ x = 1 → I(1, 0)
- Chọn x = 3 suy ra y = -2; x = -1 suy ra y = -2
Chú ý: Ta có thể tìm điểm đặc biệt bằng cách tìm giao điểm của đồ thị với trục tọa độ:
- Giao điểm của đồ thị với trục Oy là điểm(0; 2).
- Đồ thị cắt Ox tại ba điểm (1;0),(1 ± √3 ;0).
Nhận xét: Đồ thị nhận I(1;0) làm tâm đối xứng.