Bộ đề thi thử THPT Quốc gia năm 2016 môn Toán - Số 1
Bộ đề thi thử THPT Quốc gia năm 2016 môn Toán
Bộ đề thi thử THPT Quốc gia năm 2016 môn Toán - Số 1 gồm nhiều đề thi thử THPT Quốc gia môn Toán có đáp án đi kèm. Đây là tài liệu ôn tập môn Toán hữu ích, giúp các bạn luyện thi THPT Quốc gia, ôn thi Đại học môn Toán hiệu quả. Mời các bạn tham khảo.
Bộ đề thi thử THPT Quốc gia năm 2016 môn Toán - Số 3
Bộ đề thi thử THPT Quốc gia năm 2016 môn Toán - Số 4
Tuyển tập 20 đề thi thử THPT Quốc gia môn Toán năm 2016
Đề thi thử THPT Quốc gia môn Toán lần 1 năm 2016 trường THPT Chuyên Vĩnh Phúc
| TRƯỜNG THPT CHUYÊN VĨNH PHÚC ĐỀ CHÍNH THỨC |
ĐỀ THI THPT QUỐC GIA NĂM HỌC 2015 - 2016 - LẦN I Môn: TOÁN Thời gian làm bài: 180 phút, không kể thời gian phát đề. |
Câu 1 (1,0 điểm). Khảo sát sự biến thiên và vẽ đồ thị của hàm số y = x3 - 3x2 + 2.
Câu 2 (1,0 điểm). Tìm cực trị của hàm số: y = x - sin 2x + 2.
Câu 3 (1,0 điểm).
a) Cho tana = 3. Tính giá trị biểu thức ![]()
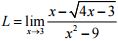
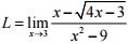
b) Tính giới hạn: ![]()
Câu 4 (1,0 điểm). Giải phương trình: 3sin2x – 4sinxcosx + 5 cos2x = 2
Câu 5 (1,0 điểm)
a) Tìm hệ số của x10 trong khai triển của biểu thức: (3x3 – 2/x2)5
b) Một hộp chứa 20 quả cầu giống nhau gồm 12 quả đỏ và 8 quả xanh. Lấy ngẫu nhiên (đồng thời) 3 quả. Tính xác suất để có ít nhất một quả cầu màu xanh.
Câu 6 (1,0 điểm). Trong mặt phẳng với hệ tọa độ (Oxy), cho hình bình hành ABCD có hai đỉnh A(-2;-1), D(5;0) và có tâm I(2;1). Hãy xác định tọa độ hai đỉnh B, C và góc nhọn hợp bởi hai đường chéo của hình bình hành đã cho.
Câu 7 (1,0 điểm)
Cho hình chóp S.ABCD có đáy ABC là tam giác vuông tại A, mặt bên SAB là tam giác đều và nằm trong mặt phẳng vuông góc với mặt phẳng (ABC), gọi M là điểm thuộc cạnh SC sao cho MC = 2MS. Biết AB = 3, BC = 3√3, tính thể tích của khối chóp S.ABC và khoảng cách giữa hai đường thẳng AC và BM.
Câu 8. (1,0 điểm). Trong mặt phẳng với hệ tọa độ (Oxy), cho tam giác ABC ngoại tiếp đường tròn tâm J(2;1). Biết đường cao xuất phát từ đỉnh A của tam giác ABC có phương trình: 2x + y – 10 = 0 và D(2;-4) là giao điểm thứ hai của AJ với đường tròn ngoại tiếp tam giác ABC. Tìm tọa độ các đỉnh tam giác ABC biết B có hoành độ âm và B thuộc đường thẳng có phương trình x + y + 7 = 0.
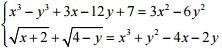
Câu 9 (1,0 điểm). Giải hệ phương trình: 
Câu 10 (1,0 điểm). Cho hai phương trình: x3 + 2x2 + 3x + 4 = 0 và x3 - 8x2 + 23x - 26 = 0. Chứng minh rằng mỗi phương trình trên có đúng một nghiệm, tính tổng hai nghiệm đó.
Đề thi thử THPT Quốc gia môn Toán lần 1 năm 2016 trường THPT Chuyên Nguyễn Đình Chiểu
|
TRƯỜNG THPT CHUYÊN NĐC Đề thi thử lần 1 |
ĐỀ THI THỬ TRUNG HỌC PHỔ THÔNG QUỐC GIA NĂM 2016 Môn: TOÁN Thời gian làm bài: 180 phút, không kể phát đề |
Câu 1: (2,0 điểm) Cho hàm số
(C)
a) Khảo sát sự biến thiên và vẽ đồ thị (C) của hàm số.
b) Cho hai điểm A(1; 0) và B(-7; 4). Viết phương trình tiếp tuyến của (C), biết tiếp tuyến đi qua điểm trung điểm I của AB.
Câu 2: (1,0 điểm)
a) Cho α - β = π/6. Tính giá trị ![]()
b) Giải phương trình (2sinx + 3cosx)2 + (3sinx + 2cosx)2 = 25.
Câu 3: (1,0 điểm)
a) Cho hàm số y = x.lnx - 2x. Giải phương trình y' = 0.
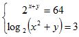
b) Giải hệ phương trình 
Câu 4: (1,0 điểm) Cho hàm số f(x) = tanx(2cotx - √2cosx + 2cos2x) có nguyên hàm là F(x) và F(π/4) = π/2. Tìm nguyên hàm F(x) của hàm số đã cho.
Câu 5: (1,0 điểm) Cho hình chóp S.ABCD có đáy ABCD là hình chữ nhật. Biết SA ⊥ ABCD, SC hợp với mặt phẳng (ABCD) một góc α với tanα = 4/5, AB = 3a và BC = 4a. Tính thể tích của khối chóp S.ABCD và khoảng cách từ điểm đến D mặt phẳng (SBC).
Câu 6: (1,0 điểm) Trong không gian Oxyz cho các điểm A(3; -4; 0), B(0; 2; 4), C(4; 2; 1). Tính diện tích tam giác ABD và tìm tọa độ điểm D trên trục Ox sao cho AD = BC.
Câu 7 (1,0 điểm) Trong mặt phẳng toạ độ Oxy cho đường tròn (C1): (x - 1)2 + (y - 1)2 = 4 có tâm là I1 và đường tròn (C2): (x - 4)2 + (y - 4)2 = 10 có tâm là I2, biết hai đường tròn cắt nhau tại A và B. Tìm tọa độ điểm M trên đường thẳng AB sao cho diện tích tam giác MI1I2 bằng 6.
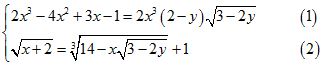
Câu 8 (1,0 điểm) Giải phương trình
.
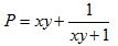
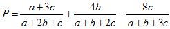
Câu 9: (1,0 điểm) Cho x≥ 0 và y ≥ 0 thỏa điều kiện x + y = 2. Tìm giá trị lớn nhất của biểu thức
![]()
Đề thi thử THPT Quốc gia môn Toán lần 1 năm 2016 trường THPT Hậu Lộc 2, Thanh Hóa
| SỞ GD&ĐT THANH HÓA TRƯỜNG THPT HẬU LỘC 2 (Đề thi gồm 01 trang) |
KÌ THI THỬ THPT QUỐC GIA NĂM 2016-LẦN 1 Môn thi: TOÁN Thời gian làm bài: 180 phút không kể thời gian phát đề. |
Câu 1 (1,0 điểm). Khảo sát sự biến thiên và vẽ đồ thị của hàm số y = -x3 + 3x - 1.
Câu 2 (1,0 điểm). Tìm giá trị lớn nhất và giá trị nhỏ nhất của hàm số y = f(x) = x2 - ln(1 - 2x) trên đoạn [-1; 0].
Câu 3 (1,0 điểm). Giải các phương trình sau:
![]()
b) log3(x + 5) + log9(x - 2)2 - log√3(x - 1) = log√3√2.
Câu 4 (1,0 điểm). Tính tích phân ![]()
Câu 5 (1,0 điểm). Trong không gian với hệ tọa độ Oxyz, cho mặt phẳng (P): x + y + z - 1 = 0 và hai điểm A(1; -3; 0), B(5; -1; -2). Tìm tọa độ điểm M trên mặt phẳng (P) sao cho |MA- MB| đạt giá trị lớn nhất.
Câu 6 (1,0 điểm).
a) Giải phương trình 2√3cos2x + 6sinx.cosx = 3 + √3.
b) Có 30 tấm thẻ đánh số từ 1 đến 30. Chọn ngẫu nhiên ra 10 tấm thẻ. Tìm xác suất để có 5 tấm thẻ mang số lẻ, 5 tấm thẻ mang số chẵn, trong đó chỉ có đúng 1 tấm thẻ mang số chia hết cho 10.
Câu 7 (1,0 điểm). Cho hình chóp S.ABCD có đáy ABCD là hình thoi cạnh a, mặt bên SAD là tam giác đều nằm trong mặt phẳng vuông góc với đáy, SC = a√6/2. Tính thể tích khối chóp S.ABCD và khoảng cách giữa hai đường thẳng AD, SB theo a.
Câu 8 (1,0 điểm). Cho ΔABC vuông cân tại A. Gọi M là trung điểm BC, G là trọng tâm ΔABM, điểm D(7; -2) là điểm nằm trên đoạn MC sao cho GA = GD. Tìm tọa độ điểm A, lập phương trình AB, biết hoành độ của A nhỏ hơn 4 và AG có phương trình 3x - y - 13 = 0.
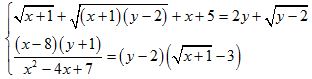
Câu 9 (1,0 điểm). Giải hệ phương trình

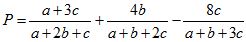
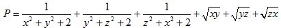
Câu 10 (1,0 điểm). Cho a, b, c là các số thực dương. Tìm giá trị nhỏ nhất của biểu thức:
![]()
Đề thi thử THPT Quốc gia môn Toán lần 1 năm 2016 trường THPT Xuân Trường, Nam Định
|
SỞ GIÁO DỤC VÀ ĐÀO TẠO NAM ĐỊNH TRƯỜNG THPT XUÂN TRƯỜNG
ĐỀ CHÍNH THỨC |
ĐỀ THI THỬ THPTQG- LẦN 1 NĂM HỌC: 2015-2016 Môn: TOÁN Thời gian làm bài: 150 phút, không kể thời gian phát đề |
Câu 1 (1,0 điểm). Khảo sát sự biến thiên và vẽ đồ thị của hàm số y = x4 - 2x2 - 3.
Câu 2 (2,0 điểm).
a) Cho tanα = 2 và π < α < 3π/2. Tính sin(α + 3π/2).
b) Giải phương trình: cosx + sin4x - cos3x = 0.
Câu 3 (1,0 điểm). Tìm giá trị lớn nhất và giá trị nhỏ nhất của hàm số f(x) = x + √(4- x2) trên đoạn [-2; 1/2].
Câu 4 (1,0 điểm). Giải phương trình 2.4x + 6x = 9x.
Câu 5 (1,0 điểm). Trong đợt thi học sinh giỏi của tỉnh Nam Định trường THPT Xuân Trường môn Toán có 5 em đạt giải trong đó có 4 nam và 1 nữ, môn Văn có 5 em đạt giải trong đó có 1 nam và 4 nữ, môn Hóa học có 5 em đạt giải trong đó có 2 nam và 3 nữ, môn Vật lí có 5 em đạt giải trong đó có 3 nam và 2 nữ. Hỏi có bao nhiêu cách chọn mỗi môn một em học sinh để đi dự đại hội thi đua? Tính xác suất để có cả học sinh nam và nữ để đi dự đại hội?
Câu 6 (1,0 điểm). Cho hình chóp S.ABCD có đáy ABCD là hình chữ nhật. Tam giác SAB đều và nằm trong mặt phẳng vuông góc với mặt phẳng đáy (ABCD). Biết SD = 2a√3 và góc tạo bởi đường thẳng SC với mặt phẳng (ABCD) bằng 300. Tính theo a thể tích khối chóp S.ABCD và khoảng cách từ điểm B đến mặt phẳng (SAC).
Câu 7 (1,0 điểm). Trong mặt phẳng với hệ tọa độ Oxy, cho hình chữ nhật ABCD. Gọi M là điểm đối xứng của B qua C và N là hình chiếu vuông góc của B trên MD. Tam giác BDM nội tiếp đường tròn (T) có phương trình: (x - 4)2 + (y - 1)2 = 25. Xác định tọa độ các đỉnh của hình chữ nhật ABCD biết phương trình đường thẳng CN là: 3x - 4y - 17 = 0; đường thẳng BC đi qua điểm E(7; 0) và điểm M có tung độ âm.
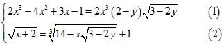
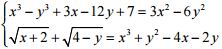
Câu 8 (1,0 điểm). Giải hệ phương trình: 
Câu 9 (1,0 điểm). Cho x, y, z ∈ [0; 2] thỏa mãn x + y + z = 3. Tìm giá trị nhỏ nhất của biểu thức
![]()
Đề thi thử THPT Quốc gia môn Toán lần 1 năm 2016 trường THPT Việt Yên 2, Bắc Giang
| SỞ GD&ĐT BẮC GIANG TRƯỜNG THPT VIỆT YÊN II |
ĐỀ THI THỬ THPT QUỐC GIA LẦN THỨ 1 NĂM HỌC: 2015 – 2016 Môn: TOÁN Lớp 12 (Thời gian làm bài: 120 phút) |
Câu 1. (3,0 điểm)
Cho hàm số
(C)
a) Khảo sát sự biến thiên và vẽ đồ thị (C) của hàm số.
b) Viết phương trình tiếp tuyến với đồ thị (C) tại giao điểm của đồ thị (C) với trục hoành.
c) Tìm m để đường thẳng d: y = 2mx + m + 1 cắt (C) tại hai điểm phân biệt A và B sao cho biểu thức P = OA2 + OB2 đạt giá trị nhỏ nhất (với O là gốc tọa độ).
Câu 2. (1,0 điểm)
Tìm giá trị lớn nhất và nhỏ nhất của hàm số: f(x) = x5 - 5x4 + 5x3 + 1 trên đoạn [–1;2]
Câu 3. (1,0 điểm)
Cho hàm số y = x3 + mx2 + 7x + 3. Tìm m để hàm số đồng biến trên R.
Câu 4. (2,0 điểm)
a) Giải phương trình cos2x - cosx = √3(sin2x + sinx)
b) Lập số tự nhiên có 5 chữ số khác nhau từ các chữ số {0; 1; 2; 3; 4; 5; 6; 7}. Hãy tính xác suất để lập được số tự nhiên chia hết cho 5.
Câu 5. (1,0 điểm)
Cho hình chóp tam giác đều S.ABC có cạnh đáy bằng a, góc giữa cạnh bên và mặt đáy bằng 600. Gọi M, N lần lượt là trung điểm AB, BC. Tính thể tích khối chóp S.ABC và khoảng cách từ C đến mặt phẳng (SMN).
Câu 6. (0,5 điểm)
Trong mặt phẳng với hệ tọa độ Oxy, cho hình chữ nhật ABCD có AB = AD√2, tâm I(1; -2). Gọi M là trung điểm cạnh CD, H(2; -1) là giao điểm của hai đường thẳng AC và BM. Tìm tọa độ các điểm A, B.
Câu 7. (1,0 điểm)
Giải bất phương trình ![]()
Câu 8. (0,5 điểm)
Giả sử a, b, c là các số thực dương thỏa mãn a + b + c = 1. Tìm giá trị nhỏ nhất của biểu thức
![]()