Bộ đề thi thử THPT Quốc gia năm 2016 môn Toán - Số 3
Bộ đề thi thử THPT Quốc gia năm 2016 môn Toán
Bộ đề thi thử THPT Quốc gia năm 2016 môn Toán - Số 3 được VnDoc.com sưu tầm và đăng tải. Đây là bộ đề thi thử đại học môn Toán gồm 5 đề luyện tập có đáp án đi kèm. Hi vọng tài liệu này sẽ giúp các bạn thí sinh ôn tập kiến thức, luyện thi THPT Quốc gia 2016 hiệu quả. Mời các bạn tham khảo.
Bộ đề thi thử THPT Quốc gia năm 2016 môn Toán - Số 1
Bộ đề thi thử THPT Quốc gia năm 2016 môn Toán - Số 2
Đề thi thử THPT Quốc gia năm 2016 môn Toán trường THPT Trần Hưng Đạo, Đăk Nông (Lần 1)
|
SỞ GIÁO DỤC VÀ ĐÀO TẠO ĐĂK NÔNG TRƯỜNG THPT TRẦN HƯNG ĐẠO
ĐỀ CHÍNH THỨC |
KỲ THI THỬ THPT QUỐC GIA NĂM 2016Môn thi: TOÁN Thời gian làm bài: 180 phút, không kể thời gian giao đề Lần thứ 1. Ngày thi: 17/11/2015 |
Câu 1. (2,0 điểm) Cho hàm số ![]()
a) Khảo sát sự biến thiên và vẽ đồ thị (C) của hàm số.
b) Viết phương trình tiếp tuyến của (C) biết tiếp tuyến song song với đường thẳng Δ: y = -x + 1
Câu 2. (1,0 điểm)
a) Giải phương trình: (sinx + cosx)2 = 1 + cosx.
b) Tìm số phức liên hợp của số phức z thỏa mãn 3z + 9 = 2i.z + 11i.
Câu 3. (0,5 điểm) Giải phương trình: log1/2 (x2 + 5) + 2log2 (x + 5) = 0
Câu 4. (0,5 điểm) Một tổ gồm 9 học sinh nam và 3 học sinh nữ. Cần chia tổ đó thành 3 nhóm, mỗi nhóm 4 học sinh để đi làm 3 công việc trực nhật khác nhau. Tính xác suất để khi chia ngẫu nhiên ta được mỗi nhó có đúng 1 nữ.
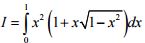
Câu 5. (1,0 điểm) Tính tích phân: ![]()
Câu 6. (1,0 điểm) Cho khối chóp S.ABC có SA vuông góc với mặt đáy (ABC), tam giác ABC vuông cân tại B, SA = a, SB hợp với đáy một góc 300. Tính thể tích của khối chóp S.ABC và tính khoảng cách giữa AB và SC.
Câu 7. (1,0 điểm) Trong không gian Oxyz, cho 3 điểm A(4, -4, 3), B(1, 3, -1). Viết phương trình mặt cầu (S) đi qua các điểm A, B, C và cắt hai mặt phương (α): x + y + z + 2 = 0 và (β): x - y - z - 4 = 0 theo hai giao tuyến là hai đường tròn có bán kính bằng nhau.
Câu 8. (1,0 điểm) Trong mặt phẳng tọa độ Oxy, cho hình chữ nhật ABCD có hình chiếu của B lên AC là E(5,0), trung điểm AE và CD lần lượt là F(0,2), I (3/2, -3/2). Viết phương trình đường thẳng CD.
Câu 9. (1,0 điểm) Giải bất phương trình: ![]()
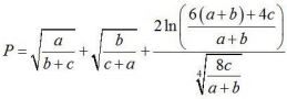
Câu 10. (1,0 điểm) Cho a, b, c > 0 và thỏa mãn: c = min {a, b, c}. Tìm Giá trị nhỏ nhất của biểu thức:

Đề thi thử THPT Quốc gia năm 2016 môn Toán trường THPT Trần Hưng Đạo, Đăk Nông (Lần 2)
|
SỞ GIÁO DỤC VÀ ĐÀO TẠO ĐĂK NÔNG TRƯỜNG THPT TRẦN HƯNG ĐẠO
ĐỀ CHÍNH THỨC |
KỲ THI THỬ THPT QUỐC GIA NĂM 2016Môn thi: TOÁN Thời gian làm bài: 180 phút, không kể thời gian giao đề Lần thứ II, Ngày thi: 28/12/2015 |
Câu 1.(1,0 điểm) Khảo sát và vẽ đồ thị hàm số y = x3 - 3x2 + 1 (C)
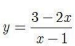
Câu 2.(1,0 điểm) Tìm GTLN,GTNN của hàm số
trên đoạn [2; 4]
Câu 3.(1,0 điểm)
a) Tìm môđun của số phức z biết
.
b) Giải phương trình: 9x - 3.3x + 2 = 0 .
Câu 4.(1,0 điểm) Tính tích phân: ![]()
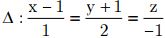
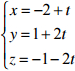
Câu 5.(1 điểm) Trong không gian toạ độ Oxyz, cho đường thẳng
. Viết phương trình mặt phẳng (P) chứa đường thẳng Δ, vuông góc với mặt phẳng (Oxy) và viết phương trình đường thẳng Δ' là hình chiếu vuông góc của Δ lên mặt phẳng (Oxy).
Câu 6.(1 điểm)
a) Giải phương trình: 2 cos5x.cos3x + sin x = cos8x
b) Trong một hộp kín đựng 2 viên bi đỏ, 5 viên bi trắng và 7 viên bi vàng. Lấy ngẫu nhiên 4 viên bi, tìm xác suất để 4 viên bi lấy ra không có đủ cả ba màu.
Câu 7.(1 điểm) Cho hình chóp S.ABC có SA vuông góc với mặt phẳng (ABC), SA = 8a, tam giác ABC đều cạnh bằng 4a; M, N lần lượt là trung điểm của cạnh SB và BC. Tính theo a thể tích hình chóp S.ABC và khoảng cách từ điểm B đến mặt phẳng (AMN).
Câu 8.(1 điểm) Trong mặt phẳng tọa độ Oxy, Cho ΔABC có trọng tâm G(8/3; 0) và có đường tròn ngoại tiếp là (C) tâm I. Điểm M(0; 1), N(4; 1) lần lượt là điểm đối xứng của I qua các đường thẳng AB, AC. Đường thẳng BC qua điểm K (2; -1). Viết phương trình đường tròn (C).
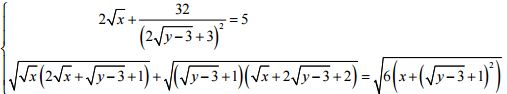
Câu 9.(1 điểm) Giải hệ phương trình: 
Câu 10.(1 điểm) Cho a,b,c là các số thực dương thỏa mãn a + b + c = 3.Tìm GTNN của biểu thức:

Đề thi thử THPT Quốc gia năm 2016 môn Toán trường THPT Đăk Mil, Đăk Nông (lần 1)
|
SỞ GIÁO DỤC VÀ ĐÀO TẠO ĐĂK NÔNG TRƯỜNG THPT ĐĂK MIL
ĐỀ CHÍNH THỨC |
KỲ THI THỬ THPT QUỐC GIA NĂM 2016Môn thi: TOÁN Thời gian làm bài: 180 phút, không kể thời gian giao đề Lần thứ 1, Ngày thi: 1/12/2015 |
Câu 1. (2,0 điểm) Cho hàm số y = -x3 + 3x2.
a) Khảo sát sự biến thiên và vẽ đồ thị (C) của hàm số đã cho.
b) Viết phương trình tiếp tuyến của đồ thị (C), biết tiếp tuyến đó song song với đường thẳng y = 3x + 5.
Câu 2. (1,0 điểm)
a) Giải phương trình: cos2x + cos22x + cos23x = 3/2.
b) Cho số phức z thỏa mãn:
. Tìm môđun của số phức z.
Câu 3. (0,5 điểm) Giải bất phương trình: 32(x + 1) - 82.3x + 9 ≤ 0
Câu 4. (0,5 điểm) Đội cờ đỏ của một trường phổ thông có 12 học sinh gồm 5 học sinh lớp A, 4 học sinh lớp B và 3 học sinh lớp C. Chọn ngẫu nhiên 4 học sinh đi làm nhiệm vụ. Tính xác suất để trong 4 học sinh được chọn không quá 2 trong 3 lớp trên.
Câu 5. (1,0 điểm) Tính tích phân: ![]()
Câu 6. (1,0 điểm) Cho hình chóp S.ABCD có đáy ABCD là hình chữ nhật với AB = a, AD = 2a, cạnh bên SA vuông góc với mặt đáy và cạnh bên SC tạo với mặt đáy một góc 600. Gọi M, N lần lượt là trung điểm của các cạnh bên SA và SB. Tính theo a thể tích khối chóp S.ABCD và khoảng cách từ S đến mặt phẳng (DMN).
Câu 7. (1,0 điểm) Trong không gian với hệ tọa độ Oxyz, cho điểm A(2;3;1) và đường thẳng d:
. Viết phương trình mặt phẳng đi qua A và chứa đường thẳng d. Viết phương trình mặt cầu tâm A và tiếp xúc với d.
Câu 8: Trong mặt phẳng Oxy, cho hình chữ nhật ABCD có AB = 2BC. Gọi H là hình chiếu của A lên đường thẳng BD; E, F lần lượt là trung điểm đoạn CD và BH. Biết A (1;1), phương trình đường thẳng EF là 3x – y – 10 = 0 và điểm E có tung độ âm. Tìm tọa độ các đỉnh B, C, D.
Câu 9. (1,0 điểm) Giải hệ phương trình sau:

Câu 10. (1,0 điểm) cho a,b, c là các số thực không âm và thỏa mãn: ab + bc + ca = 1. Tìm GTNN của biểu thức:

Đề thi thử THPT Quốc gia năm 2016 môn Toán trường THPT Chuyên Vĩnh Phúc (lần 2)
|
TRƯỜNG THPT CHUYÊN VĨNH PHÚC ĐỀ CHÍNH THỨC |
ĐỀ THI THPT QUỐC GIA NĂM HỌC 2015 - 2016 - LẦN 2Môn: TOÁN Thời gian làm bài: 180 phút, không kể thời gian phát đề. |
Câu 1 (1,0 điểm). Khảo sát sự biến thiên và vẽ đồ thị của hàm số: ![]()
Câu 2 (1,0 điểm). Tìm giá trị lớn nhất và giá trị nhỏ nhất của hàm số: ![]()
Câu 3 (1,0 điểm).
a) Cho α ∈ (π/2; π) và sinα = 4/5. Tính giá trị biểu thức ![]()
b) Giải phương trình: cos2x + (1 + 2cosx)(sinx - cosx) = 0.
Câu 4 (1,0 điểm). Giải phương trình: log3(x + 5) + log9(x - 2)2 - log√3(x - 1) = log√3√2.
Câu 5 (1,0 điểm).
a) Tìm hệ số của x6 trong khai triển của biểu thức: 
b) Cho một đa giác đều n đỉnh, n ∈ N và n ≥ 3. Tìm n biết rằng đa giác đã cho có 135 đường chéo.
Câu 6 (1,0 điểm).
Trong mặt phẳng với hệ tọa độ (Oxy), cho hình vuông ABCD, biết hai đỉnh A (1;1), B (3;0). Tìm tọa độ các đỉnh C và D.
Câu 7 (1,0 điểm).
Cho hình chóp S.ABCD có đáy là hình vuông cạnh bằng 4. Mặt bên (SAB) nằm trong mặt phẳng vuông góc với đáy, hình chiếu vuông góc của S trên mặt đáy là điểm H thuộc đoạn AB sao cho BH = 2AH. Góc giữa SC và mặt phẳng đáy là 600. Tính thể tích khối chóp S.ABCD và khoảng cách từ điểm H đến mặt phẳng (SCD).
Câu 8 (1,0 điểm).
Trong mặt phẳng với hệ tọa độ Oxy cho tam giác ABC có A(1; 4), tiếp tuyến tại A của đường tròn ngoại tiếp tam giác ABC cắt BC tại D, đường phân giác trong của góc ABD là d: x - y + 2 = 0, điểm M(4; -1) thuộc cạnh AC. Viết phương trình đường thẳng AB.
Câu 9 (1,0 điểm). Giải hệ phương trình:

Câu 10 (1,0 điểm). Cho a,b,c là độ dài ba cạnh của một tam giác có chu vi bằng 1. Tìm giá trị lớn nhất của biểu thức:
![]()
Đề thi thử THPT Quốc gia năm 2016 môn Toán trường THPT Lương Ngọc Quyến, Thái Nguyên (Lần 1)
|
SỞ GD&ĐT THÁI NGUYÊN TRƯỜNG THPT |
ĐỀ THI THỬ THPT QUỐC GIA LẦN 1 NĂM 2016MÔN: TOÁN Thời gian làm bài: 180 phút (không kể thời gian phát đề) |
Câu 1 (1,0 điểm). Khảo sát sự biến thiên và vẽ đồ thị hàm số: y = -(1/4)4 + 2x2 - 3.
Câu 2 (1,0 điểm). Tìm giá trị lớn nhất, giá trị nhỏ nhất của hàm số f(x) = x2 - 4lnx trên đoạn [e].
Câu 3 (1,0 điểm). Giải các phương trình sau:
![]()
Câu 4 (1,0 điểm). Tìm họ nguyên hàm sau:
.
Câu 5 (1,0 điểm). Trong không gian với hệ tọa độ Oxyz, cho mặt phẳng (P): x - y + 2z + 4 = 0 và mặt cầu (S): x2 + y2 + z2 - 2x - 6y + 4z = 11. Viết phương trình mặt phẳng (Q) song song với mặt phẳng (P) và tiếp xúc với mặt cầu (S).
Câu 6 (1,0 điểm).
a) Giải phương trình sau: sin3x - sinx + cos2x = 1.
b) Trong giải bóng đá nữ của trường THPT Lương Ngọc Quyến có 12 đội tham gia, trong đó có hai đội của hai lớp 12A6 và 10A3. Ban tổ chức giải tiến hành bốc thăm ngẫu nhiên để chia thành hai bảng A và B, mỗi bảng 6 đội. Tính xác suất để hai đội 12A6 và 10A3 ở cùng một bảng.
Câu 7 (1,0 điểm). Cho hình chóp S.ABCD có đáy ABCD là hình chữ nhật tâm I. Cạnh SA vuông góc với mặt phẳng (ABCD), SA = a√3. Bán kính đường tròn ngoại tiếp hình chữ nhật ABCD bằng a√3/3, góc ACB = 30o. Tính theo a thể tích khối chóp S.ABCD và khoảng cách giữa hai đường thẳng AC và SB.
Câu 8 (1,0 điểm). Trong mặt phẳng với hệ tọa độ Oxy, cho tam giác nhọn ABC. Đường trung tuyến kẻ từ đỉnh A và đường thẳng BC lần lượt có phương trình: 3x + 5y - 8 = 0, x - y - 4 = 0. Đường thẳng qua A và vuông góc với cạnh BC cắt đường tròn ngoại tiếp tam giác ABC tại điểm thứ hai là D(4;-2). Viết phương trình các đường thẳng AB và AC. Biết hoành độ điểm B không lớn hơn 3.
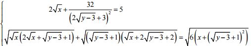
Câu 9 (1,0 điểm). Giải hệ phương trình: 
Câu 10 (1,0 điểm). Cho các số dương x, y, z thỏa mãn x > y và (x + z)(y + z) = 1. Tìm giá trị nhỏ nhất của biểu thức:
![]()