Đề thi thử THPT Quốc gia năm 2016 môn Toán trường THPT Đăk Mil, Đăk Nông (lần 1)
Đề thi thử THPT Quốc gia 2016 môn Toán
Đề thi thử THPT Quốc gia năm 2016 môn Toán trường THPT Đăk Mil, Đăk Nông (lần 1) gồm 10 câu hỏi làm trong thời gian 180 phút, có đáp án đi kèm. Đây là tài liệu ôn tập môn Toán hữu ích dành cho các bạn học sinh lớp 12, những bạn chuẩn bị bước vào kì thi THPT Quốc gia 2016, luyện thi Đại học, Cao đẳng khối A, khối B, khối D. Mời các bạn tham khảo.
Bộ đề thi thử THPT Quốc gia năm 2016 môn Toán
|
SỞ GIÁO DỤC VÀ ĐÀO TẠO ĐĂK NÔNG TRƯỜNG THPT ĐĂK MIL
ĐỀ CHÍNH THỨC |
KỲ THI THỬ THPT QUỐC GIA NĂM 2016Môn thi: TOÁN Thời gian làm bài: 180 phút, không kể thời gian giao đề Lần thứ 1, Ngày thi: 1/12/2015 |
Câu 1. (2,0 điểm) Cho hàm số y = -x3 + 3x2.
a) Khảo sát sự biến thiên và vẽ đồ thị (C) của hàm số đã cho.
b) Viết phương trình tiếp tuyến của đồ thị (C), biết tiếp tuyến đó song song với đường thẳng y = 3x + 5.
Câu 2. (1,0 điểm)
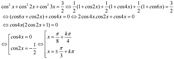
a) Giải phương trình:
![]()
b) Cho số phức z thỏa mãn:
![]()
Tìm môđun của số phức z.
Câu 3. (0,5 điểm) Giải bất phương trình: 32(x + 1) - 82.3x + 9 ≤ 0
Câu 4. (0,5 điểm) Đội cờ đỏ của một trường phổ thông có 12 học sinh gồm 5 học sinh lớp A, 4 học sinh lớp B và 3 học sinh lớp C. Chọn ngẫu nhiên 4 học sinh đi làm nhiệm vụ. Tính xác suất để trong 4 học sinh được chọn không quá 2 trong 3 lớp trên.
Câu 5. (1,0 điểm) Tính tích phân:
![]()
Câu 6. (1,0 điểm) Cho hình chóp S.ABCD có đáy ABCD là hình chữ nhật với AB = a, AD = 2a, cạnh bên SA vuông góc với mặt đáy và cạnh bên SC tạo với mặt đáy một góc 600. Gọi M, N lần lượt là trung điểm của các cạnh bên SA và SB. Tính theo a thể tích khối chóp S.ABCD và khoảng cách từ S đến mặt phẳng (DMN).
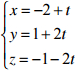
Câu 7. (1,0 điểm) Trong không gian với hệ tọa độ Oxyz, cho điểm A(2;3;1) và đường thẳng d:

Viết phương trình mặt phẳng đi qua A và chứa đường thẳng d. Viết phương trình mặt cầu tâm A và tiếp xúc với d.
Câu 8: Trong mặt phẳng Oxy, cho hình chữ nhật ABCD có AB = 2BC. Gọi H là hình chiếu của A lên đường thẳng BD; E, F lần lượt là trung điểm đoạn CD và BH. Biết A (1;1), phương trình đường thẳng EF là 3x – y – 10 = 0 và điểm E có tung độ âm. Tìm tọa độ các đỉnh B, C, D.
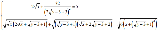
Câu 9. (1,0 điểm) Giải hệ phương trình sau:

Câu 10. (1,0 điểm) cho a,b, c là các số thực không âm và thỏa mãn: ab + bc + ca = 1. Tìm GTNN của biểu thức:

Bộ đề thi thử THPT Quốc gia năm 2016 môn Sinh học
Đáp án đề thi thử THPT Quốc gia môn Toán năm 2016
Câu 1a.

Câu 1b.

Câu 2a.

Câu 2b.

(Còn tiếp)