Ôn thi Đại học môn Toán - Chuyên đề: Số phức
Ôn thi đại học chuyên đề: SỐ PHỨC
Để giúp các bạn học sinh ôn tập một cách dễ dàng hơn nhằm chuẩn bị cho kì thi đại học, chúng tôi xin giới thiệu đến các bạn tài liệu ôn thi Đại học môn Toán về chuyên đề số phức. Qua tài liệu này, các bạn sẽ được hệ thống lại một số kiến thức và cách giải các vấn đề liên quan đến số phức được học trong nhà trường, đồng thời đưa ra các bài tập về số phức có trong các đề thi đại học, cao đẳng khối A, B, D một số năm trước. Mời các bạn cùng tham khảo chi tiết tại đây nhé.
- Đề thi thử THPT Quốc gia môn Toán trường THPT Thanh Chương 3, Nghệ An
- Đề thi thử đánh giá năng lực ĐHQGHN Tư duy định lượng (môn Toán)
- Bộ công thức Toán lớp 12 ôn thi THPT Quốc gia từ A - Z
- 8 chuyên đề Toán luyện thi THPT Quốc gia
Ôn thi Đại học môn Toán - Chuyên đề: Số phức vừa được VnDoc.com sưu tập và xin gửi tới bạn đọc cùng tham khảo. Bài viết được tổng hợp gồm có phương pháp giải bài tập về số phức như khái niệm về số phức, modun, biểu diễn hình học, dạng lượng giác, các phép toán về số phức... Đi kèm với lý thuyết là một số đề thi về số phức. Bài tập, đề thi về số phức có đáp án và lời giải chi tiết kèm theo. Mời các bạn cùng tham khảo chi tiết và tải về tại đây nhé.
A. Phương pháp giải bài tập số phức
1. Số phức
z = a + ib với i2 = -1
a, b thuộc R
a là phần thực, b là phần ảo
Số phức liên hợp của z là: ![]()
2. Modun
z = a + ib (a, b thuộc R)
Modun: ![]()
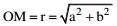
3. Biểu diễn hình học: z = a + ib (a, b thuộc R)
M(a; b) là ảnh của z:
modun của z
là Argument của z, argz = φ
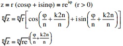
4. Dạng lượng giác
![]()
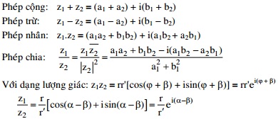
5. Các phép toán về số phức

6. Lũy thừa số phức
z = r(cosφ + isinφ)
zn = rn(cosnφ + isinnφ) công thức de Moirve
zn = rneinφ
7. Căn bậc n

B. Đề thi số phức
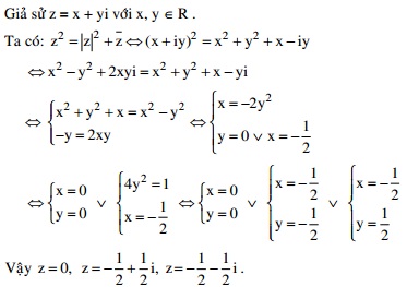
Bài 1: Đại học khối A năm 2011
Tìm tất cả các số phức z, biết z2 = |z|2 + z.
Giải:

Bài 2: Đại học khối A năm 2011
Tính modun của số phức z, biết: ![]()
Giải:

(Còn tiếp)
Trên đây VnDoc.com vừa giới thiệu tới các bạn Ôn thi Đại học môn Toán - Chuyên đề: Số phức, mong rằng qua bài viết này các bạn có thể học tập tốt hơn môn Toán lớp 12. Mời các bạn cùng tham khảo thêm các môn Ngữ văn 12, tiếng Anh 12, đề thi học kì 1 lớp 12, đề thi học kì 2 lớp 12...
Mời bạn đọc cùng tham gia nhóm Tài liệu học tập lớp 12 để có thêm tài liệu học tập nhé