Đề thi thử THPT Quốc gia năm 2016 môn Toán trường THPT Tương Dương 1, Nghệ An (Lần 1)
Đề thi thử THPT Quốc gia năm 2016 môn Toán
Đề thi thử THPT Quốc gia năm 2016 môn Toán trường THPT Tương Dương 1, Nghệ An (Lần 1) được VnDoc.com sưu tầm và đăng tải. Đây là đề thi thử đại học môn Toán có đáp án, là tài liệu luyện thi Đại học, Cao đẳng hữu ích dành cho các bạn học sinh lớp 12, những bạn chuẩn bị bước vào kì thi THPT Quốc gia 2016 sắp tới.
222 đề thi thử THPT Quốc gia môn Toán năm 2016 của các trường THPT trên toàn quốc
Đề thi thử THPT Quốc gia môn Toán năm 2016 trường THPT Chuyên Hưng Yên (Lần 2)
| SỞ GD&ĐT NGHỆ AN TRƯỜNG THPT TƯƠNG DƯƠNG 1 |
ĐỀ THI THỬ KỲ THI THPT QUỐC GIA LẦN 1 Năm học 2015 – 2016 Môn thi: Toán Thời gian làm bài: 180 phút (Không kể thời gian phát đề) |
Câu 1: (2,0 đ) Cho hàm số y = -x3 + 3x - 2 (1)
a) Khảo sát sự biến thiên và vẽ đồ thị (C) của hàm số (1).
b) Viết phương trình tiếp tuyến của đồ thi (C) tại các giao điểm của (C) với đường thẳng d: y = -x - 2 biết tọa độ tiếp điểm có hoành độ dương.
Câu 2: (0,5đ) Giải phương trình: log3(x2 + 3x) + log1/3(2x + 2) = 0 (x ∈ R)
Câu 3: (0,5đ) Tìm giá trị lớn nhất và giá trị nhỏ nhất của hàm số f(x) = -2x4 + 4x2 + 10 trên đoạn [0; 2].
Câu 4: (1,0đ) Tính tích phân: ![]()
Câu 5: (1,0đ) Trong không gian với hệ tọa độ Oxyz, cho ba điểm A(2;1;-3), B(4;3;-2), C(6;-4;-1). Chứng minh rằng A, B,C là ba đỉnh của một tam giác vuông và viết phương trình mặt cầu tâm A đi qua trọng tâm G của tam giác ABC.
Câu 6: (1,0đ)
a) Cho góc α thỏa mãn: π < α < 3π/2 và tanα = 2. Tính giá trị của biểu thức A = sin2α + cos(α + π/2).
b) Trong cụm thi để xét công nhận tốt nghiệp THPT thí sinh phải thi 4 môn trong đó có 3 môn bắt buộc là Toán, Văn, Ngoại ngữ và một môn do thí sinh tự chọn trong số các môn: Vật lí, Hóa học, Sinh học, Lịch sử và Địa lí. Trường A có 30 học sinh đăng kí dự thi, trong đó có 10 học sinh chọn môn Lịch sử. Lấy ngẫu nhiên 5 học sinh bất kỳ của trường A, tính xác suất để trong 5 học sinh đó có nhiều nhất 2 học sinh chọn môn Lịch sử.
Câu 7: (1,0đ) Cho hình chóp S.ABC có đáy ABC là tam giác đều cạnh 3a, hình chiếu của S lên mặt phẳng (ABC) là điểm H thuộc cạnh AB sao cho AB = 3AH. Góc tạo bởi SA và mặt phẳng (ABC) bằng 60o. Tính theo a thể tích khối chóp S.ABC và khoảng cách giữa hai đường thẳng SA và BC.
Câu 8: (1,0đ) Trong mặt phẳng tọa độ Oxy, cho hình thang ABCD với AB//CD có diện tích bằng 14, H(-1/2;0) là trung điểm của cạnh BC và I(1/4;1/2) là trung điểm của AH. Viết phương trình đường thẳng AB biết đỉnh D có hoành độ dương và D thuộc đường thẳng d: 5x - y + 1 = 0.
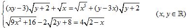
Câu 9: (1,0đ) Giải hệ phương trình: 
Câu 10: (1,0đ) Cho x, y là hai số thực dương thỏa mãn 2x + 3y ≤ 7. Tìm giá trị nhỏ nhất của biểu thức
![]()
Đáp án đề thi thử THPT Quốc gia năm 2016 môn Toán




