222 đề thi thử THPT Quốc gia môn Toán năm 2016 của các trường THPT trên toàn quốc
222 đề thi thử THPT Quốc gia môn Toán năm 2016 của các trường THPT trên toàn quốc
Nhằm giúp các bạn thí sinh luyện tập và củng cố môn Toán trước kì thi THPT Quốc gia, VnDoc.com mời các bạn tham khảo bộ đề 222 đề thi thử THPT Quốc gia môn Toán của các trường THPT trên toàn quốc. Đáp án sẽ được cập nhật nhanh chóng, các bạn chú ý theo dõi nhé. Bộ tài liệu được biên tập bởi thầy Trần Văn Tài, VnDoc.com chúc các bạn luyện thi hiệu quả và đạt thành tích cao trong kì thi THPT Quốc gia sắp tới.
Bộ đề thi thử THPT Quốc gia năm 2016 môn Toán - Số 1
Bộ đề thi thử THPT Quốc gia năm 2016 môn Toán - Số 2

Bộ đề tập hợp nhiều đề thi thử các lần của các trường THPT Chuyên và bình thường trên toàn quốc như: THPT Chuyên Sơn La, THPT Bảo Thắng số 3, THPT Chuyên Bình Minh, THPT Chuyên Lê Quý Đôn, Chuyên Quốc học Huế, THPT Bố Hạ, THPT Cam Ranh, THPT Chuyên Bắc Giang, THPT Chuyên Bắc Ninh, THPT Chuyên Hùng Vương....
Đáp án của bộ đề đang được cập nhật thành 1 file tải nhé các bạn! Như vậy, các bạn sẽ thuận tiện trong việc tải về và sử dụng.
Mời các bạn tham khảo trước 1 đề trong bộ tài liệu này. Hãy tải về và ôn tập cùng VnDoc.com các bạn nhé!
Đề thi thử THPT Quốc gia môn Toán trường THPT Chuyên Quảng Ninh
|
TRƯỜNG THPT CHUYÊN HẠ LONG |
ĐỀ THI THỬ THPT QUỐC GIA LẦN 2 NĂM 2015 - 2016 Môn: TOÁN Thời gian làm bài: 180 phút, không kể thời gian phát đề |
Câu 1 (1,0 điểm). Khảo sát sự biến thiên và vẽ đồ thị hàm số ![]()
Câu 2 (1,0 điểm). Cho hàm số y = -x3 + 3x - 2 có đồ thị là (C). Viết phương trình tiếp tuyến của đồ thị (C) tại các giao điểm của nó với đường thẳng Δ có phương trình y = -x - 2.
Câu 3 (1,0 điểm).
a) Cho số phức z thỏa mãn
Tìm môđun của số phức ![]()
b) Giải phương trình 32 + x + 32 - x = 82.
Câu 4 (1,0 điểm). Tính tích phân ![]()
Câu 5 (1,0 điểm). Trong không gian với hệ toạ độ Oxyz, cho ba điểm A(1; 1; 1), B(3; 5; 2),C(3; 1; -3). Lập phương trình đường thẳng d đi qua gốc tọa độ O, vuông góc với mặt phẳng (ABC) và lập phương trình mặt cầu (S) ngoại tiếp tứ diện OABC.
Câu 6 (1,0 điểm).
a) Tính giá trị biểu thức ![]()
b) Chương trình Táo Quân năm 2016 (Gặp nhau cuối năm) có một trò chơi tên là Vòng quay kỳ diệu dành cho các Táo tương tự như trò chơi truyền hình Chiếc nón kỳ diệu trên kênh VTV3. Chiếc nón có hình tròn được chia đều thành các ô hình quạt, trong đó có 10 ô có tên "Tham nhũng", 4 ô có tên "Trong sạch" và 2 ô có tên "Phần thưởng". Có 4 Táo (Kinh tế, Xã hội, Giáo dục và Tinh thần) cùng tham gia trò chơi này, mỗi Táo chỉ được quay ngẫu nhiên một lần. Tính xác suất để cả 4 Táo đều quay vào ô "Trong sạch".
Câu 7 (1,0 điểm). Cho hình chóp S.ABC có đáy ABC là tam giác đều cạnh a, mặt bên SAC là tam giác cân tại S và nằm trong mặt phẳng vuông góc với mặt phẳng (ABC), đường thẳng SB tạo với mặt phẳng (ABC) một góc 60o, M là trung điểm cạnh BC. Tính theo a thể tích khối chóp S.ABC và khoảng cách giữa hai đường thẳng SM, AC.
Câu 8 (1,0 điểm). Trong mặt phẳng với hệ toạ độ Oxy, cho hình vuông ABCD có A(4;6). Gọi M , N lần lượt là các điểm nằm trên các cạnh BC và CD sao cho
M(4;0) và đường thẳng MN có phương trình 11x + 2y + 44 = 0. Tìm tọa độ các điểm B, C, D.
Câu 9 (1,0 điểm). Giải hệ phương trình 
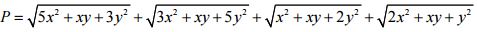
Câu 10 (1,0 điểm). Cho a, b, c là các số thực dương thỏa mãn ![]()
Tìm giá trị lớn nhất của biểu thức ![]()
Đề thi thử THPT Chuyên Vĩnh Phúc lần 3
|
THPT CHUYÊN VĨNH PHÚC
|
ĐỀ THI THPT QUỐC GIA NĂM HỌC 2015 - 2016 - LẦN 3 Môn: TOÁN Thời gian làm bài: 180 phút, không kể thời gian phát đề. |
Câu 1 (1,0 điểm). Khảo sát sự biến thiên và vẽ đồ thị của hàm số: x3 - 3x2 + 2.
Câu 2 (1,0 điểm).Tìm giá trị lớn nhất và giá trị nhỏ nhất của hàm số: f(x) = (2x + 1)/(x - 1) trên đoạn [3; 5]
Câu 3 (1,0 điểm).
a) Cho α ∈ (π/2; π) và sinα = 1/3. Tính giá trị biểu thức P = sin2α - cos2α.
b) Giải phương trình: 2sin2x + 2sin2x = sinx + cosx.
Câu 4 (1,0 điểm). Tính tích phân sau:
.
Câu 5 (1,0 điểm).
a) Giải bất phương trình: log2(3x - 2) - log2(6 - 5x) > 0.
b) Cho tập hợp E = {1; 2; 3; 4; 5; 6} và M là tập hợp tất cả các số gồm hai chữ số phân biệt lập từ E. Lấy ngẫu nhiên một số thuộc M. Tính xác suất để tổng hai chữ số của số đó lớn hơn 7.
Câu 6 (1,0 điểm). Trong không gian với hệ tọa độ (Oxyz), cho các điểm M (1; -2; 0), N (-3; 4; 2) và mặt phẳng (P): 2x + 2y + z - 7 = 0. Viết phương trình đường thẳng MN và tính khoảng cách từ trung điểm của đoạn thẳng MN đến mặt phẳng (P).
Câu 7 (1,0 điểm). Cho hình chóp S.ABC có đáy ABC là tam giác đều cạnh a Gọi I là trung điểm cạnh AB. Hình chiếu vuông góc của đỉnh S trên mặt phẳng đáy là trung điểm H của CI, góc giữa đường thẳng SA và mặt đáy bằng 600. Tính theo a thể tích khối chóp S.ABC và khoảng cách từ điểm H đến mặt phẳng (SBC).
Câu 8 (1,0 điểm). Trong mặt phẳng với hệ tọa độ Oxy, cho hai đường thẳng d1: 3x – 4y – 8 = 0, d2: 4x + 3y – 19 = 0. Viết phương trình đường tròn (C) tiếp xúc với hai đường thẳng d1 và d2, đồng thời cắt đường thẳng ∆: 2x – y – 2 = 0 tại hai điểm A, B sao cho AB = 2√5.
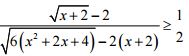
Câu 9 (1,0 điểm). Giải bất phương trình: 
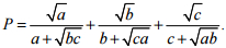
Câu 10 (1,0 điểm). Cho các số thực dương x, y thỏa mãn điều kiện x + y = 2016. Tìm giá trị nhỏ nhất của biểu thức:
![]()
(Còn tiếp nhiều đề)
Bên cạnh đó, các bạn có thể thực hiện ôn thi trên trang web VnDoc.com với nhiều đề thi phong phú HOÀN TOÀN MIỄN PHÍ và đáp ứng được nhu cầu thực hiện bài thi trực tuyến của các bạn. Hãy thử sức nào!
Link đề thi trực tuyến:
| Môn Văn | Môn Lý | Môn Hóa | Môn Sinh | Môn Anh |
| Link thi thử miễn phí | Link thi thử miễn phí | Link thi thử miễn phí | Link thi thử miễn phí | Link thi thử miễn phí |
Link tải tài liệu thi thử THPT Quốc gia 2016 MIỄN PHÍ: