Ôn thi Đại học môn Toán - Chuyên đề: Đại số
ÔN THI ĐẠI HỌC MÔN TOÁN CHUYÊN ĐỀ: ĐẠI SỐ
Ôn thi Đại học môn Toán - Chuyên đề: Đại số được VnDoc.com sưu tầm và đăng tải, là tài liệu ôn tập môn Toán hữu ích, chuẩn bị tốt nhất cho kì thi THPT Quốc gia, luyện thi Đại học, Cao đẳng khối A, B, D. Mời các bạn tham khảo chi tiết tại đây nhé.
- Ôn thi Đại học môn Toán - Chuyên đề: Mũ và Logarit
- Ôn thi Đại học môn Toán - Chuyên đề: Hệ thức lượng trong tam giác
- Ôn thi Đại học môn Toán - Chuyên đề: Hình học giải tích trong mặt phẳng
VnDoc.com xin gửi tới bạn đọc bài viết Ôn thi Đại học môn Toán - Chuyên đề: Đại số để bạn đọc cùng tham khảo. Bài viết được tổng hợp gồm có các vấn đề về đại số như phương trình chứa căn, bất phương trình chứa căn, hệ phương trình, phương trình, hệ phương trình bất phương trình có chứa tham số... Tất cả các chuyên đề đều có bài tập, đề luyện thi kèm theo. Bài tập có đáp án và lời giải chi tiết kèm theo. Mời các bạn cùng tham khảo chi tiết và tải về tại đây nhé.
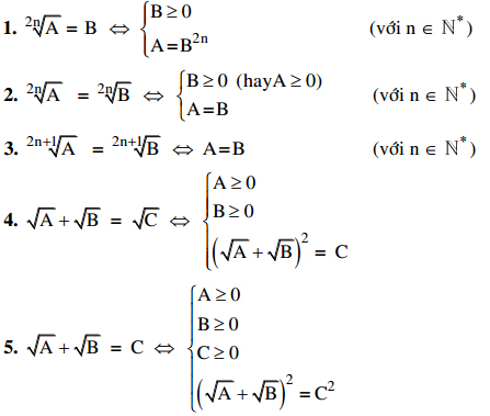
Vấn đề 1: Phương trình chứa căn
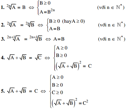
A. PHƯƠNG PHÁP GIẢI

B. Đề thi luyện tập
Bài 1: Đại học khối B năm 2011
Giải phương trình: ![]()
Giải:
Cách 1:

Cách 2:

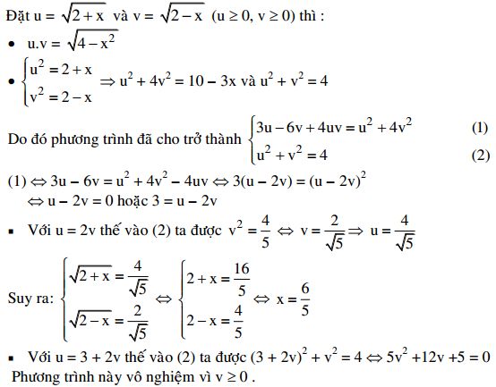
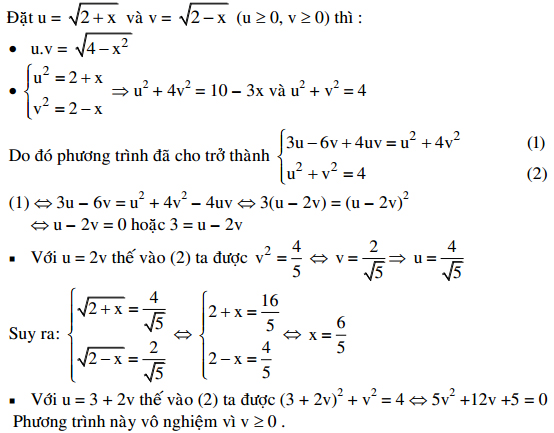
Bài 2: Đại học khối B năm 2010
Giải phương trình: ![]()
Giải:

Vấn đề 2: Bất phương trình chứa căn
A. PHƯƠNG PHÁP GIẢI

B. Đề thi luyện tập
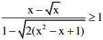
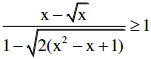
Bài 1: Đại học khối A năm 2010
Giải bất phương trình: 
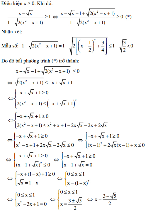
Giải:

(Còn tiếp)
Trên đây VnDoc.com vừa giới thiệu tới các bạn Ôn thi Đại học môn Toán - Chuyên đề: Đại số, mong rằng qua bài viết này các bạn có thể học tập tốt hơn môn Toán lớp 12. Mời các bạn cùng tham khảo thêm các môn Ngữ văn 12, tiếng Anh 12, đề thi học kì 1 lớp 12, đề thi học kì 2 lớp 12...
Mời bạn đọc cùng tham gia nhóm Tài liệu học tập lớp 12 của VnDoc.com để có thêm tài liệu học tập nhé