Cách bấm máy tính tìm nguyên hàm F(x) của hàm số f(x)
Cách bấm máy tính tìm nguyên hàm
Bạn đang học giải tích và loay hoay không biết cách sử dụng máy tính cầm tay để tìm nguyên hàm một cách nhanh chóng, chính xác? Trong bài viết này, chúng tôi sẽ hướng dẫn cách bấm máy tính tìm nguyên hàm F(x) của hàm số f(x) bằng các dòng máy phổ biến như Casio fx-580VN X hoặc fx-570VN Plus. Đây là một kỹ năng cực kỳ hữu ích giúp bạn kiểm tra kết quả trong quá trình học và luyện thi môn Toán. Hãy cùng khám phá cách làm nhanh chóng chỉ trong vài bước đơn giản!
A. Thuật toán trên máy tính CASIO
![]()
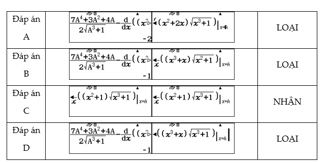
: là hàm số cần xác định nguyên hàm
: là các đáp án nguyên hàm đã cho
A: hằng số tự chọn thuộc tập xác định và có giá trị nhỏ
- Thay lần lượt các đáp án vào
và chọn giá trị A thích hợp - Lựa chọn đáp án có kết quả xấp xỉ bằng 0
B. Bài tập tìm nguyên hàm nhanh bằng máy tính
Bài toán 1.1 Tìm nguyên hàm của hàm số ![]()
Phân tích: Hàm số
trên khá phức tạp do đó việc sử dụng máy tính CASIO fx-580VN X để tìm nguyên hàm sẽ giúp các bạn chọn được đáp án đúng một cách nhanh chóng và chính xác hơn.
Hướng dẫn giải
Thay
lần lượt bằng các đáp án và chọn A = 0

Khi làm bài thi các bạn không cần thử tất cả các đáp án trong đề mà chúng ta sẽ dừng ngay việc thay đáp án khi chọn được biểu thức đúng
Bài toán 1.2 Tìm nguyên hàm của hàm số ![]()
Hướng dẫn giải
Để các phép toán lượng giác thực hiện chính xác hơn, chúng ta nên chuyển máy về chế độ Radian
Chọn ![]()

Bài toán 1.3: Cho hàm số
là một nguyên hàm của hàm số
. Tìm nguyên hàm của hàm số ![]()
Hướng dẫn giải
Ta có
, suy ra ![]()
Nhập vào máy tính CASIO fx- 580VN X:
, với G(x) lần lượt là các hàm trong đáp án và A = 0.1.
Bài tập 1.4. Tìm nguyên hàm của hàm số f(x) = cos2x
- A.

- B.

- C. 2sin 2x +C
- D. -2sin 2x+C
Hướng dẫn giải
Ta hiểu nếu F(x) là nguyên hàm của F(x) thì 
Chọn
rồi dùng tính năng tính đạo hàm của Casio để kiểm tra qw4qya1R2$j2Q))$aqKR12$$pk2OaqKR12$)=

Ta thấy
⇒ Đáp số chính xác là A.
Bài tập 1.5. Biết
là một nguyên hàm của hàm số
và
. Tính
?
A.
B.
C.
D. ![]()
Hướng dẫn giải
Ta có:
![]()
ya1RQ)p1R2E3$+1=
![]()
→ Đáp số chính xác là B.
Bài tập 1.6. Tìm nguyên hàm của hàm số
?
A. ![]()
B. ![]()
C. ![]()
D. ![]()
Hướng dẫn giải
Ta hiểu
là
thì 
Với đáp án A ta thấy ![]()
Nếu đáp số này đúng thì 
![]()
Kết quả ra một số khác 0 vậy đáp án A sai
Tương tự như vậy với đáp số B

ta hiểu là 0
=> Đáp số chính xác là B.
Bài tập 1.7. Nguyên hàm của hàm số
trên tập số thực là:
A.
B. ![]()
C.
D. ![]()
Hướng dẫn giải
Chuyển máy tính Casio về chế độ Radian (khi làm các bài toán liên quan đến lượng giác
Chọn 1 giá trị x bất kì ví dụ như ![]()
Khi đó giá trị của
tại
là ![]()
![]()
Theo đáp án A thì
. Nếu đáp án A đúng thì
. Ta tính được
là một giá trị khác với
. Vậy đáp án A sai.
![]()
Tương tự thử nghiệm với đáp án B ta được 
Vậy đáp án chính xác là đáp án B.
Chú ý: Cái gì đạo hàm ra sin thì đó là cos. Ta nhớ đến công thức 
Áp dụng 
Cân bằng hệ số bằng cách chia hai vế cho -4 ta được 
Từ đây ta biết được
.
Nhận xét:
Khi sử dụng Casio để làm bài tập liên quan đến hàm lượng giác thì ta nên đổi sang chế độ Radian để phép tính của chúng ta đạt độ chuẩn xác cao.
Ngoài cách gộp hàm
theo công thức góc nhân đôi, ta có thể tư duy như sau:
Nếu ta coi
thì
, vậy ta nhớ tới công thức 
Ta thiết lập quan hệ
hay 
Vậy ta biết
tuy nhiên so sánh đáp án thì lại không có đáp án giống. Vậy ta tiếp tục biến đổi 1 chút: ![]()
=>
cũng là
.
--------------------------------------
Hy vọng hướng dẫn cách bấm máy tính tìm nguyên hàm F(x) trong bài viết đã giúp bạn hiểu rõ và áp dụng hiệu quả vào việc học Toán. Việc sử dụng máy tính đúng cách không chỉ giúp tiết kiệm thời gian mà còn nâng cao độ chính xác trong quá trình làm bài. Đừng quên luyện tập thường xuyên và kết hợp với phương pháp tự luận để đạt kết quả tốt nhất trong kỳ thi!